3 июня 2005
г.
Общий
обзор
мироздания (урок
4)
Тема
сегодняшнего
урока –
результат
разбиения
келим и мир
исправления.
В конечном итоге
для того,
чтобы
исправить
творение и привести
его к подобию
свойств с
Творцом, необходимо
внести
внутрь
Малхут, присоединить
к ней
свойства
отдачи.
Малхут умеет
только одно –
получать и
наслаждаться.
Если она
поймет, что
значит
отдавать, то
сможет
построить
над собой
экран, то
есть, намерение,
чтобы ее
получение
также было
предназначено
для отдачи
Творцу.

Рис.1
Такое
действие
называется
получением
ради отдачи. Не
нужно ничего
большего, и
невозможно
ничего большего,
потому что
творение -
всего-навсего
получающее,
оно не может
отдавать. Оно
может пожелать
доставить
наслаждение
кому-то своим
получением.
В
нашем мире мы
можем
отдавать,
потому что
пребываем в
теле, и во
внешней
форме я могу
взять что-то
и отдать
кому-то. У нас
это
называется
отдачей – во
внешней
форме. Но
если
говорить о
нашем внутреннем
кли, о том, что
мы
представляем
собой внутри,
не
облаченными
в тело, если
принять во
внимание
только душу,
то наша душа
умеет только
получать.
Наше тело
вводит нас в
заблуждение,
будто бы мы
способны
отдавать. Оно
говорит:
«Возьми!».
Почему я это
делаю? –
Потому что
внутри себя,
внутри своей
души я знаю,
что мне будет
от этого
хорошо. Нет
ничего
другого,
потому что
природа
творения –
наслаждаться,
получать
удовольствие
и
наслаждение,
желание наслаждаться,
желание
получать. Но –
получать!
Как можно
обрести
намерение
для того,
чтобы
отдавать, то
есть, чтобы
использовать
наше кли,
нашу природу,
то, что мы
собой
представляем
–
исключительно
получение –
для того, чтобы
доставить
кому-то
наслаждение,
и чтобы это
наслаждение
было
оторвано от
нас, то есть,
не имело
никакой
связи со мной
и не приносило
мне никакой
выгоды ни в
какой
опосредованной
форме?
Это
возможно с
помощью
света,
возвращающего
к Источнику.
Что это
такое? – Чудо!
Это на самом
деле чудо.
Свыше
приходит
особая сила,
называемая
свет,
возвращающий
к Источнику. И
это
называется
Торой – свет, заключенный
в ней,
возвращает к
Источнику.

Рис. 2
Как
это делается?
– С помощью
учебы –
изучения
Торы (и тогда
это
называется
Торой), вызывающего
на человека
свет,
возвращающий
к Источнику.
Если человек
учится для
того, чтобы
получить
свет, который
исправит его,
принесет ему
келим отдачи,
- это
означает, что
он «учит Тору». Если
же он учится
для того,
чтобы
удостоиться
всевозможных
других
результатов –
почета,
денег,
знаний, чтобы
быть умнее
остальных,
называться
праведником,
большим Ребе
– неважно, что
именно, - это
означает, что
он не учит
Тору, потому
что не изучает
ее в целях
исправления.
Как
это возможно,
чтобы этот
свет,
приходящий
свыше к
желанию
наслаждаться,
исправил его,
ведь желание
наслаждаться
даже не поймет,
что такое
свет,
возвращающий
к Источнику?
Для того
чтобы свет
исправил
желание
наслаждаться,
в этом
желании
должна быть
готовность к
этому.
Желание
наслаждаться
понимает
только то, что
получать –
это хорошо.
Для того
чтобы исправить
его, внутри
него должны
быть искры отдачи.
Если они
будут в нем,
то свет свыше
будет
воздействовать
на эти искры
отдачи, потому
что на
желание
наслаждаться
он не может
подействовать,
поскольку
оно не ощутит
этот свет как
возвращающий
к Источнику,
приносящий
какое-то
исправление.
Желание насладиться
понимает
наслаждение
или отсутствие
наслаждения,
наполнение
или его
отсутствие.

Рис.3
Но
эти искры
отдачи
ощущают свет
как Отдающий,
чувствуют
отдачу,
заключенную
в Нем. И тогда
они могут
начать становиться
отдающими, то
есть, они
исправляют
себя и своим
исправлением
вызывают
также исправление
самого
желания
наслаждаться
вокруг себя.

Рис.4
Это
означает, что
сначала
приходит
свет, исправляет
искры отдачи,
а затем эти
искры отдачи
исправляют
общее
желание, в
которое они
включены.
Свет
приходит с
помощью
изучения
Торы. Что значит
«учить Тору»? – В
сущности, это
означает
изучать
Каббалу. Как
объясняет
Бааль Сулам в
«Предисловии
к Талмуду Десяти
Сфирот»,
наука
Каббала,
говорящая об исправлениях
в наших
душах,
пробуждает
окружающие
света
наиболее
эффективно и
сильно.
Поэтому
желательно изучать
науку
Каббала
вместо
изучения любых
других книг –
«Пятикнижия»,
«Гмары» и так
далее, хотя
их тоже можно
изучать для
того, чтобы
вызывать
окружающие
света.
В
предыдущих
поколениях,
начиная от
разрушения
Храма и до
нашего
времени, до
начала двадцатого
века, на
протяжении 2000
лет, в период
изгнания,
желание
наслаждаться,
смешавшись с
народами
мира,
постоянно
возрастало
все больше и
больше. Были
времена,
когда
желание наслаждаться
было
маленьким, и
тогда с
помощью
изучения
«Пятикнижия»
или «Талмуда»
тоже можно
было вызвать
свет,
возвращающий
к Источнику,
достаточный
для
исправления человека.

Рис.5
На
сегодняшний
день мы
пребываем в
таком большом
желании
наслаждаться,
что только с помощью
науки
Каббала
можем
вызвать свет,
возвращающий
к Источнику. Бааль
Сулам
подробно
объясняет в
«Предисловии»
к «Талмуду
Десяти
Сфирот»,
почему он
пишет эту
книгу.
В
сущности, как
мы
осуществляем
это исправление
в действии?
Для того
чтобы понять
это,
необходимо
изучить
разбиение
миров и
последующее
исправление
миров. Где и
как
произошло
разбиение в
мирах? Разбиение
было
необходимо
для того,
чтобы соединить
Бину и
Малхут, и
дать
возможность
Малхут
исправиться
с помощью
Бины.
Мы
изучаем, что
кли,
созданное в
четырех стадиях
распространения
прямого
света, - Малхут
– совершило
Первое
Сокращение,
после этого
исправило
себя экраном
и приняло
решение о том,
что будет
получать
только для
того, чтобы
отдавать
Творцу, чтобы
ее получение
было отдачей.
Если Малхут
на сто
процентов
сможет
получать для
того, чтобы
тем самым
доставлять
Творцу
наслаждение,
то такое
состояние
назовется
Окончательным
Исправлением,
и тем самым
осуществится
Замысел
творения.

Рис.6
Как
это
реализуется?
Нарисуем
Малхут в виде
вертикальной
линии. Первый
парцуф, то
есть, первая
порция света,
которую Малхут
получает с
помощью
экрана,
называется Гальгальта.
Малхут
совершает
это действие,
реализуя
решимот 4/4, и
получает
часть света,
заполняющего
ее от пэ до табура
- так
называемый
внутренний
свет. А в
часть от табура
до сиюма
Малхут не
может
получить
свет, и этот
свет
остается
снаружи
Малхут в качестве
окружающего
света.
Это
означает, что
из ста
процентов
прямого света,
приходящего
к Малхут,
часть его она
получила –
внутренний
свет, а часть –
нет. Внутренним
светом она
наполнила
себя от пэ до табура,
а в той части,
куда не
смогла его
получить,
осталась
пустой – от табура
до сиюма.
Таким
же образом
она получила
затем свет в парцуф
АБ и САГ. В
парцуф АБ она
получила свет
на решимот 4/3, а
в САГ – на
решимот 3/2.
Когда экран
истончился
до 2/2 (бет
дэ-итлабшут и
бет
дэ-авиют),
некудот
дэ-САГ,
представляющие
собой
действительно
чистую Бину,
спустились
вниз под
табур и
наполнили
Гальгальту,
распространив
под табур
свет Хасадим.
Они
смешались с
Гальгальтой
с помощью света
Хасадим.
Но
экран был на
авиют бет, а в Гальгальте
есть решимот
4/3, авиюта
далет. И потому
эти решимот
авиюта далет
повлияли на
Бину, ведь, в
сущности, под
табуром
Гальгальты
встретились
Бина и Малхут,
и Малхут,
относящаяся
к авиюту
далет,
воздействовала
на Бину,
относящуюся
к авиюту бет,
и сократила
Бину.
Если
мы разделим
келим под
Табуром Гальгальты
на 10 сфирот:
Кетер, Хохма,
Бина, Хесед,
Гвура,
Тиферет, Нецах,
Ход, Есод,
Малхут, то
посредине
Тиферет – там,
где
заканчиваются
келим отдачи
и начинаются
келим
получения: Нецах,
Ход, Есод,
Малхут – до
этого уровня
было
совершено
сокращение.
Стадия далет
поднялась до
этого уровня и
сократила
эти келим,
совершив в
них Второе
Сокращение
(Цимцум Бет).
Келим КАХАБ
называются
Гальгальта,
келим ХАГАТ - Эйнаим, нижняя
треть
тиферет –
озен, НЕХИ –
хотем, Малхут
– пэ. Все
вместе они
называются
Гальгальта вэ-Эйнаим
и АХАП.
Тем
самым
образовалось
также место
для миров. На
месте
Гальгальта-Эйнаим
будет мир Ацилут,
на месте озен
– мир Брия, на
месте НЕХИ, хотем
– мир Ецира, а
на месте
Малхут, пэ –
мир Асия. Разделение,
граница
между мирами
или между
келим
получения и
келим отдачи
называется
«парса».

Рис.7
Поэтому
под табуром
Гальгальты
есть различие,
разница
между келим - между
получающими
и отдающими,
Биной и Малхут.
Особенность
заключается
в том, что Малхут
и Бина
существуют в
одном
парцуфе. Раньше
это были два
совершенно
отдельных парцуфа
- Творец и
творение,
Бина –
свойство
Творца, а Малхут
– свойство
творения. Но
теперь в одном
парцуфе – в
Бине -
верхняя
половина
осталась в
свойстве
Бины, а
нижняя часть
приняла на
себя
свойства
Малхут.
Очень
интересно! В
одном
парцуфе
встретились
свойства
Творца и
свойства
творения. И хотя
между ними
есть
разделение,
граница – парса,
и две эти
части не
соединяются
между собой,
противоположны
друг другу,
но, по сути, они
находятся в
одном
парцуфе. Как
такое возможно?
Это возможно
потому, что
произошло Сокращение
на келим
получения,
запрещающее
работать с
ними. И тогда
они будто бы
молчат, не
работают, и
потому
ощущаются
только свойства
Бины, а не
Малхут. Но
внутри парцуфа
получающие
келим
присутствуют.
Почему это
хорошо? – Это
хорошо для
будущего,
потому что из
такого
состояния
когда-нибудь
посредством
различных
действий
творение
может
соединиться
с Творцом.
Пока этого
нет, но они
пребывают в
одном
объекте.
Каким
образом
далее,
согласно
Цели
творения,
можно
заставить
творение на
практике
получить
свойства
Творца и
обратить
себя в
подобного
Творцу, чтобы
оно обрело
намерение
ради отдачи,
экран? Как
сделать это
изнутри искр
Бины,
внедрившихся
в него? Скоро
мы это
увидим.
Это
происходит в
мире Некудим,
рождающемся
после
парцуфа САГ. Нарисуем
ту же картину
– Гальгальта,
АБ, САГ,
некудот
дэ-САГ
спускаются
под табур
Гальгальты,
происходит
Второе
Сокращение,
некудот
дэ-САГ
поднимаются
в Рош САГ, к пэ
Рош дэ-САГ с
решимот 2/1
после
сокращения,
делают зивуг
в никве-эйнаим
Рош дэ-САГ.
Почему
именно в
никве-эйнаим?
– Они делают
зивуг только
на
Гальгальта вэ-Эйнаим
– на то, что
разрешено, и
распространяются
там, где
разрешено
получать, - в
Гальгальта вэ-Эйнаим.
И поэтому
здесь не
происходит
зивуг на все 10
сфирот.

Рис.8
Если
бы в Рош
дэ-САГ
произошел
зивуг на 10 сфирот,
когда экран
стоял бы в пэ,
то свет
отсюда
распространился
бы во все сфирот
вниз, и вошел
бы также в
место, находящееся
под
Сокращением -
в
запрещенное
место. Для
того чтобы
этого не
произошло,
САГ делает
зивуг в его
никве-эйнаим,
то есть,
делает зивуг
только на Гальгальта
вэ-Эйнаим, и
тогда свет
распространяется
точно в разрешенном
месте – в Гуф
Гальгальта-Эйнаим.
В результате
этого
выходит
парцуф
Некудим.
Он
называется
Некудим,
потому что
вышел после
некудот
дэ-САГ. Этот
парцуф
включает в
себя Кетер,
Хохма и Бина,
называемые
Аба вэ-Има и
ЗОН – Зеир
Анпин и
Нуква, то
есть, он
включает в
себя 10 сфирот:
Кетер, Хохма,
Бина и семь
сфирот ЗОН (Зеир
Анпин
состоит из
6-ти сфирот, и
Нуква –
седьмая).
Что
особенного
есть в этом
парцуфе? – Все
его сфирот и
все его части
задействуются
только в
Гальгальта-Эйнаим,
только в
половине из
всех своих
келим.
Предположим,
в Кетер есть 10
сфирот, но он
работает
только в
своей Гальгальта-Эйнаим,
а его АХАП не
работает. В
Аба вэ-Има
есть 10 сфирот,
но действуют
только их Гальгальта-Эйнаим,
а АХАП
парцуфа Аба вэ-Има
не действует.
То же самое –
парцуф ЗОН. В
нем работает
Гальгальта-Эйнаим,
а его АХАП, находящийся
под парсой, не работает,
поэтому мы
его вообще не
рисуем, так
как он
находится
под
Сокращением.
Этот
парцуф
называется
мир Некудим.
Почему «мир»,
ведь это
только один
парцуф? – Он
называется
так ради
будущего.
Почему? – Где его
будущее? – Его
будущее определяется
тем, что
кроме
решимот 2/1
после
сокращения,
относящихся
к
Гальгальта-Эйнаим,
в нем есть
решимот 4/3,
принадлежащие
АХАП, которые
эти келим
получили от
Гальгальты и
сделали Сокращение.

Рис.9
Поэтому
вместе с
решимот 2/1
поднялось
также решимо
4/3, и затем САГ
делает на
него зивуг.
Для того
чтобы совершить
зивуг на
решимо 4/3, САГ
опускает
свой экран в пэ,
потому что
решимот 4/3 означают,
что
необходимо
наполнить
парцуф
светами также
внизу, и
делает зивуг
на весь
парцуф. И
тогда свет
приходит
вниз,
распространяется
во всем
парцуфе – и
выше, и ниже
парсы так,
что в Кетер
образуются 10
сфирот, в Аба вэ-Има
– 10 сфирот, и ЗОН
распространяется
вниз. Когда
келим ЗОН
распространяются
вниз, они соединяют
свои
Гальгальта-Эйнаим
с АХАП, и тогда
все эти келим
ЗОН разбиваются,
Гальгальта-Эйнаим
входит в
АХАП, АХАП – в
Гальгальта-Эйнаим
таким
образом, что
образуются
келим
Гальгальта-Эйнаим
с АХАП, перемешанные
друг с другом
на
бесконечную
глубину.
В
результате
этого
разбиения
образовались
чистые келим
Гальгальта-Эйнаим,
чистый АХАП,
Гальгальта-Эйнаим
в АХАП и АХАП
в Гальгальта-Эйнаим
– все четыре
варианта смешения,
которые
могут
получиться
из двух видов
келим.

Рис.10
Чего
мы этим
достигли?
Сначала были
два парцуфа -
отдельно
Бина, и
отдельно
Малхут. Затем
эти два свойства
– Бина и
Малхут оказались
существующими
в одном
парцуфе, но
Малхут в нем
находится под
Вторым
Сокращением.
Потом в мире
Некудим, в
малом
состоянии
(катнут),
вначале вышел
парцуф
только со
свойствами
Бины, но с
Малхут, находящейся
внутри него в
укрытии, так
что ее не
было видно.
Затем вышел
парцуф, в
котором уже
есть Бина и
Малхут,
работающие
будто бы
вместе, в
одном
парцуфе – в
ЗОН, но
поскольку
они работали
вместе, то
вместе и
разбились. В
результате
этого
разбиения
Бина и Малхут
включились
друг в друга.

Рис.11
Это
означает, что
мы достигли
соединения свойств
Творца со
свойствами
творения, которые
смешались
друг с другом
до самой последней
части в самой
последней – в
каждой мельчайшей
частной
сфире – таким
образом, чтобы
в конечном
итоге во всем
сотворенном,
начиная от
Творца,
духовного, называемого
Биной, и до
нашего мира,
включая материал
этого мира,
не было бы
никакой части,
не состоящей
из силы
притяжения и
силы
отталкивания.
В
каждом виде
материи
обязательно
присутствуют
две силы, а не
одна, иначе
материя не
сможет
существовать.
Малхут сама
по себе не
способна
существовать,
- это пепел, ей
обязательно
нужно хотя бы
немного силы
Бины для
того, чтобы
размножаться,
потому что
все
размножение
и развитие происходит
силой
развития, силой
Бины, силой отдачи.
Невозможно
сделать
что-либо
только одной силой.
Это подобно
нашему
дыханию,
которое осуществляется
за счет
попеременного
сжатия и
расширения.
Во всем
действуют
две силы. В
любом
движении,
являющемся
признаком развития,
обязаны
участвовать
две силы.
Поэтому
взаимное
включение
Бины с Малхут
существует
на
протяжении всего
процесса
развития творения,
начиная от
мира Некудим
и до конца.
Это взаимное
включение
дает Малхут
способность
развиваться.
Что
еще мы
выигрываем
из этого?
Сначала Бина
и Малхут были
оторваны
друг от
друга. Бина –
это Творец, духовное,
а Малхут – это
творение.
Затем они соединились
вместе так,
что Малхут
включилась
в Бину,
а Бина
включилась в
Малхут.

Рис.12
Отсюда
получается,
что Творец
понимает творение,
потому что включает
в себя его, все
его проблемы,
недостатки,
потребности,
а творение
получило
искры отдачи
от Творца.
Это
означает, что
теперь в Бине
(Биной называется
Творец,
духовное)
есть ее
Гальгальта-Эйнаим
и АХАП, и в
творении
тоже есть
Гальгальта-Эйнаим
и АХАП. В Бине
Гальгальта-Эйнаим
– это Творец, а
ее АХАП – это
часть
творения. В
творении
Гальгальта-Эйнаим
представляет
собой часть
Творца, а его
АХАП – это
творение
внутри него.

Рис.13
Почему
Бина должна
быть с АХАП, с
творением? –
Это подобно
утробе
материи, системе
вскармливания,
системе
ухода за младенцем,
ребенком,
творением,
потому что
Высший
обязан знать
и создавать
системы,
подходящие
творению, в
соответствии
с тем, что именно
и сколько
необходимо
творению на
этапах его
развития.
Поэтому
Творец
обязан включить
в себя
творение,
обязан содержать
в себе эту
часть. Это
называется
«рэхем» («матка»,
живот) внутри
матери. Бина –
это мать, и
есть в ней
часть,
обеспечивающая
уход за
творением,
включенная в
творение. Это
разбиение келим,
их смешение
как раз и
позволяет
Бине
включить в
себя Малхут.
Малхут,
получившая
келим Бины, согласно
этому также
способна
понять, что
называется
Биной,
отдачей, и
может начать
исправлять
себя. Она
включает в
себя
Гальгальту-Эйнаим
– только
отдающую, и
АХАП – только
получающий,
не понимающий
ничего иного,
а вместе они
смогут когда-нибудь
получать
ради отдачи.
Сейчас они
еще не
способны на
это, но
начало уже
заложено.
Итак,
в результате
разбиением
келим мы достигаем
корня
исправления.
Без
разбиения не
может быть
исправления.
Что
получается в
результате
разбиения? Мы
говорили о
том, что в мире
Некудим
разбился
парцуф Зеир
Анпин.

Рис.14
Мир
Некудим
состоял из
Кетер, Аба вэ-Има
и ЗОН. Парцуф
ЗОН, который
разбился, развивался
посредством
зивуга в пэ
Аба вэ-Има на
решимот 4/3, а
затем – на
решимот 3/2,
пройдя два
этапа
развития
внутри
желания
наслаждаться.
Каждый из
этих этапов
развития
включает в
себя полную
АВАЯ, то есть,
четыре вида
авиюта, в
сумме –
восемь. Восемь
этих частей
также
включают в
себя четыре части,
составляя
вместе 32
канала,
каждый из которых
в свою
очередь
состоит из
десяти. В сумме
получается 320 -
гематрия
(числовое
значение)
ШАХ.
4 х 8 -> 32 * 10 = 320 = ШАХ

Рис.15
Во
всех этих 320-ти
разбившихся
частях
вместе есть
девять
сфирот и
Малхут. В
сущности, девять
сфирот можно
исправить,
поскольку они
представляют
собой
свойства
Творца, а Малхут
– свойства
творения.
Девять
сфирот, умноженные
на 32, или (что то
же самое) 320 – 32
составляют 288 -
гематрия
РАПАХ.
9 х 32 -> 320 –
32 = 288 = РАПАХ
А
Малхут
остается
одна,
включающая в
себя 32 части (1 х
32) – гематрию
«лев а-эвен»
(«каменное
сердце»). Эти
названия
нужно
запомнить,
они широко
используются
в Каббале.
О
чем говорят
все эти
символы? – Они
говорят о
том, что в
конечном
итоге в
каждом кли, в
каждой его
части или во
всем полном
кли (поскольку
частное и
общее равны)
есть ШАХ (320)
разбитых
частей,
внутри
которых
РАПАХ (288) частей
можно
исправить, а
«лев а-эвен» -
невозможно.
Не
думайте, что
«лев а-эвен» -
это что-то
маленькое.
«Лев а-эвен» - это
огромные
части,
природное
желание наслаждаться,
созданное
Творцом. Оно
до такой степени
природное,
естественное,
настолько
проистекает
из точки
«нечто из
ничего», что
не способно
содержать в
себе, включить
внутрь себя
никакую
часть, пришедшую
от Бины, не
способно
смешаться с
Биной, не
понимает ее.
Это истинная
Малхут – «лев
а-эвен».
Поэтому
исправление
производится
особым
образом.
Каким? В
результате
разбиения
ЗОН мира
Некудим,
состоящего
из Кетер, Аба вэ-Има
и ЗОН,
образовались
320 частей.
Кетер и Аба вэ-Има
не разбились
– это Рош
парцуфа. В пэ
парцуфа Аба вэ-Има
произошел
зивуг, и в ЗОН
распространился
свет. После
разбиения
все это
строение
поднимается
в Рош парцуфа
САГ - общую
Бину, выполняющую
все действия,
и Рош парцуфа
САГ
совершает
действие.

Рис.16
Какие
решимот
поднимаются
при этом?
Когда распространился
мир Некудим,
были решимот
2/1 после
Сокращения и
4/3. Сейчас
поднимаются решимот
1/0 после
Сокращения и
те же самые
решимот 4/3
остаются.
Решимот 1/0
совершают
зивуг дэ-акаа
(ударное взаимодействие
экрана со
светом) на
уровне
авиюта шореш
(0) в Рош, и свет
от этого
зивуга распространяется
вновь в
разрешенное
место. Докуда
свету
разрешено
распространяться?
– До парсы,
куда прежде
распространялся
ЗОН.
Распространился
первый
парцуф,
называемый
Атик. Это
очень
особенный
парцуф. Он
называется
Атик,
поскольку
оторван (неэтак)
от нашего
постижения.
Откуда
приходит этот
парцуф? – Он
приходит от
Гальгальта-Эйнаим
Кетера мира
Некудим.
Только
Гальгальта-Эйнаим
Кетера мира
Некудим
приводит к рождению
парцуфа Атик.
Но
известно, что
АХАП Кетера
мира Некудим
находится
внутри Аба вэ-Има.
И потому от
АХАП Кетера
происходит
следующий,
отдельный
парцуф,
называемый
Арих Анпин.
Он называется
Арих Анпин,
потому что
является
большим,
длинным.
Анпин происходит
от слова
«паним» (лицо) -
Хохма, и Арих –
от слова
«арох» -
длинный.
Что
произошло от
Аба вэ-Има
мира Некудим
в их большом
состоянии
(гадлут) и в
малом
(катнут)? От
Гальгальты-Эйнаим
парцуфа Аба вэ-Има
мира Некудим
родился
парцуф,
называемый
Аба вэ-Има
мира Ацилут.
От их АХАП
родился
парцуф, называемый
Исраэль Саба
ве-Твуна
(ИШСУТ) мира
Ацилут. От
Гальгальта-Эйнаим
парцуфа ЗОН
вышел парцуф
ЗОН мира
Ацилут.
Особенным
здесь
является то,
что все эти
парцуфим, находящиеся
выше ЗОН,
называются
ГАР мира Ацилут
и приходят от
решимот ГАР
мира Некудим,
которые не
разбились.
Прежде Кетер
и Аба вэ-Има
мира Некудим
– Рош –
обслуживали
Гуф мира Некудим,
а сейчас Рош
мира Ацилут –
ГАР мира Ацилут
должны
служить Гуф
мира Ацилут.
Это произошло
за счет
решимот, то
есть, ГАР
мира Ацилут
построен не посредством
разбившихся
решимот, а
обычным
путем,
образуя от
Гальгальты
парцуф АБ, от
АБ – САГ, от САГ –
МА.

Рис.17
И
только ЗОН
мира Ацилут,
Гальгальта-Эйнаим
ЗОН мира
Ацилут произошли
от разбиения,
при котором
смешались
все келим. Но
когда ко
всему этому
смешению
приходит свет
АБ-САГ – свет
Хохма и свет
Бина, то этот
свет
начинает
выявлять из
этих келим
четыре типа
келим –
Гальгальта-Эйнаим,
Гальгальта-Эйнаим,
включенные в
АХАП, АХАП в
Гальгальта-Эйнаим
и истинный
АХАП.
Из
келим
Гальгальта-Эйнаим
был создан
ЗОН мира
Ацилут, а из
келим АХАП
образовалась
клипа. Под
воздействием
светящего
света
становится
ясно, что
желание,
называемое
АХАП,
невозможно
исправить.
Есть еще два
вида келим –
Гальгальта-Эйнаим
в АХАП и АХАП
в Гальгальта-Эйнаим.
Кто такая
Гальгальта-Эйнаим?
– Гальгальта-Эйнаим
по свойствам
подобна миру
Ацилут. Тогда
что делают? – Берут
мир Ацилут и отпечатывают
его в АХАП.
Как
происходит
исправление?
Свет АБ-САГ
светит на
разбитые
келим и
проясняет их.
Кто выясняет
эти келим?
Известно, что
Гальгальта
выясняет и
рождает АБ,
АБ рождает
САГ, то есть, каждый
раз какая-то
ступень
может
проясниться
и родиться
только с
помощью
более высшей
ступени, чем
она сама.
Какая более
высшая
ступень есть
у всех этих
келим? – Гальгальта-Эйнаим
ЗОН мира
Ацилут,
которые перед
этим
выяснились
из разбитых
Гальгальта-Эйнаим,
и теперь они
могут
прояснить
все остальные
келим –
Гальгальта-Эйнаим
в АХАП и АХАП
в
Гальгальта-Эйнаим,
потому что
сами они уже
исправлены.
Это
подобно тому,
о чем мы уже
говорили, -
сначала
Исраэль
должен
исправиться –
Гальгальта-Эйнаим,
а затем
исправить
народы мира во
взаимном
включении
Гальгальта-Эйнаим
в АХАП и АХАП
в
Гальгальта-Эйнаим.
Что
же делать?
Для того
чтобы родить
что-то, эти
келим
Гальгальта-Эйнаим
мира Ацилут
должны стать
большими,
подняться до
уровня
«больших» - в ГАР
мира Ацилут.
Поэтому в
мире Ацилут
происходит
подъем –
Гальгальта-Эйнаим
поднимаются
на одну
ступень выше,
над ними
поднимается
парцуф ИШСУТ,
над ним – Аба вэ-Има,
выше него –
Арих Анпин,
еще выше –
Атик, который
даже выходит
наружу, выше табура.

Рис.18
Получается,
что парцуфим
располагаются
в таком
порядке: ЗОН
мира Ацилут,
ИШСУТ, Аба вэ-Има,
Арих Анпин и
Атик. Весь
мир Ацилут
поднялся на
одну ступень
выше, и его
ЗОН
находится в
большом
состоянии
(гадлут) – не
только в
Гальгальта-Эйнаим,
а во всех
десяти
сфирот, как Аба
вэ-Има, как
«большие», и
тогда ЗОН
может
выяснить и родить
новый парцуф.
Что он и
делает –
рождает
новый парцуф.
Первый
рожденный им
парцуф
представляет
собой взаимное
включение
Гальгальта-Эйнаим
в АХАП. ЗОН
сам по себе –
это
Гальгальта-Эйнаим,
поэтому с
этими келим
он умеет
работать, из
келим
Гальгальта-Эйнаим
образовался
мир Ацилут. А
из АХАП ЗОН
берет только
верхнюю, тонкую
часть – озен.
Поэтому
из
Гальгальты-Эйнаим
в АХАП в озен выходит
мир Брия.
Гальгальта-Эйнаим
– это мир
Ацилут.
Внутри АХАП,
внутри
авиюта бет
(озен – это
авиют бет) образовался
мир Брия.
Поднявшись в
Аба вэ-Има,
ЗОН рождает
внизу, под
ними мир
Брия.

Рис.19
Затем
ЗОН выясняет
Гальгальта-Эйнаим
в хотем, и
отсюда
выходит мир
Ецира,
стоящий под
миром Брия. Потом
ЗОН выясняет
Гальгальта-Эйнаим
в пэ, и
из этого
проясняется
мир Асия, стоящий
ниже мира
Ецира. Есть
здесь еще
одно дополнение,
приводящее к
тому, что миры
расположены не
совсем так.
Почему?
– Потому что
ЗА и его
Нуква – ЗОН
мира Ацилут в
то время,
когда
находятся на
месте этих
миров,
располагаются
очень особым
образом. ЗА
стоит в
десяти
сфирот. Его Кетер,
Хохма, Бина, Хесед,
Гвура, Тиферет
составляют
Гальгальта-Эйнаим,
а Нецах, Ход, Есод,
Малхут – его АХАП.
А парцуф
Малхут - его
Нуква стоит
внизу - от Тиферет
до Малхут –
так же, как
при Втором
Сокращении,
когда Малхут
поднялась до Тиферет
в некудот
дэ-САГ.
Теперь
ЗА стоит в
десяти
сфирот, а
Малхут -
напротив
него в
четырех
сфирот, облачаясь
на его четыре
сфиры. Малхут
называется
«сын четырех»
(«бен далет»),
поскольку в
ней есть
четыре сфиры
ЗА. И потому
мы иногда обозначаем
Малхут
буквой далет
(4), произнося
имя Творца –
далет.
Поэтому
миры Брия,
Ецира и Асия
не стоят один
под другим, а от
Тиферет мира
Брия, то есть,
от его хазэ
на него
облачается
мир Ецира, а
ниже на мир
Ецира
облачается
мир Асия.

Рис.20
Но
как
подсчитать
их точное
расположение?
– Очень
просто! Мы
изучали, что
под парсой
есть нижняя
треть
Тиферет –
место мира Брия,
затем – Нецах,
Ход, Есод – это
место мира
Ецира, и
Малхут –
место мира
Асия. Каждый
мир состоит
из десяти
сфирот. От
парсы до хазэ
места мира
Ецира
получается 10 + 6
(Кетер, Хохма,
Бина, Хесед,
Гвура,
Тиферет) –
всего 16
сфирот до
хазэ, и еще 4 + 10 = 14
сфирот. Получается,
что в месте
миров Брия,
Ецира, Асия
образуется
разделение
между 16-ю и 14-ю
сфирот. 16
сфирот
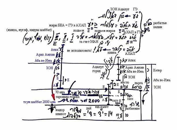
называются
«тхум Шаббат»,
а 14 сфирот - «мадор
клипот».
Это
еще не все.
Повторим еще
раз, что было
и что
произошло.
Мир Некудим
сначала находился
в малом
состоянии, а
затем перешел
в большое.
Когда свет
распространился
от Кетер, Аба вэ-Има
и ЗОН вниз,
произошло
разбиение,
над парсой
создался мир
Ацилут. В
мире Ацилут
есть парцуфим
ЗОН, Аба вэ-Има
(нарисуем их вместе
с ИШСУТ), Арих
Анпин и Атик,
стоящий выше.
Ниже мира
Ацилут есть
мир Брия,
вниз от хазэ
мира Брия
расположен
мир Ецира, и
под ним – мир
Асия. Каждый
из этих миров
состоит из
десяти сфирот.
Под
парсой место
миров
располагается
следующим образом:
10 сфирот мира
Брия, 10 сфирот
мира Ецира и 10
сфирот мира
Асия. Это
место
создано еще
из некудот
дэ-САГ. Место
мира Ацилут
находится
выше парсы, а
место миров
Брия, Ецира и
Асия – ниже
парсы.

Рис.21
Но
когда
создавались
сами миры,
они были созданы
в более
высоком
состоянии, на
более высоком
месте. Сфирот
этих миров
расположились
следующим
образом: 10
сфирот мира Брия,
4 сфиры мира
Ецира выше
парсы и 6
сфирот ниже
парсы до хазэ
мира Брия,
затем еще 10
сфирот от хазэ
мира Брия до
хазэ мира Ецира.
В итоге 16
сфирот
расположены
под парсой
выше хазэ
мира Ецира, а
ниже хазэ
мира Ецира находятся
14 сфирот = 4 + 10.
6
сфирот,
находящихся
в месте мира
Брия от парсы
до хазэ мира
Брия,
называются
«ибуро шель
ир» - 70 ама. Что
это значит? –
Вокруг города,
называемого
миром Ацилут,
есть еще дополнительная
территория – 70
ама вокруг
городской
стены (парса
называется
городской
стеной),
называемая
«зародышем
города» (ибур
шель ир) –
земля,
принадлежащая
городу. Это
место
получает
свечение из
мира Ацилут,
и в нем есть
святость, то
есть, это
место, эти желания
разрешено
использовать.
В конечном итоге
все, что мы
изучаем – это
желания. Миры
– это также
желания
внутри
человека.
Таким
образом,
«зародыш
города»
разрешено использовать.
И есть еще
желания,
называемые «2000
ама», - «тхум
шаббат», то
есть, даже
если миры поднимаются
в шаббат
вверх – так,
что все миры
Асия, Ецира,
Брия, ЗОН, Аба вэ-Има,
Арих Анпин и
Атик
поднимаются
над парсой, то
все равно мы
можем
сделать
такие исправления
в этих
желаниях,
называемые «тикуней
тхумим», что,
даже
находясь в
состоянии
подъема
миров, можем
использовать
эти желания -
«тхум шаббат»
- ради
отдачи, можем
использовать
желания,
находящиеся
до хазэ места
БЕА.
Место
под ним - 14
нижних
сфирот,
называемые юд-далет
(14) или «дай» -
«хватит» (Как
написано: «Сказал
мирам:
«Хватит, не
распространяйтесь
дальше»),
называется
«мадор
клипот».
Здесь находятся
желания,
которые
невозможно
исправить.
Поэтому
запрещено
выходить в Шаббат за
пределы «тхум
шаббат», ниже
этого места.
А в «будние дни»
есть работа с
клипот –
нужно
извлечь их из
келим, которые
затем можно будет
использовать.

Рис.22
Что
значит
«клипот»? –
Клипот – это
желания, которые
пока еще
нельзя
исправить –
до Окончательного
Исправления.
Поэтому
нужно отделить
их от всех
остальных
желаний,
сделать им
такие
исправления,
чтобы они не
мешали и
находились
внизу.
В
сущности, это
мы и делаем с
помощью того,
что выясняем
келим,
разбившиеся
при разбиении
мира Некудим.
При
разбиении
мира Некудим
были келим
Гальгальта-Эйнаим,
из которых
создался ЗОН
мира Ацилут,
келим
Гальгальта-Эйнаим
в АХАП, из
которых
создались
миры Брия,
Ецира и Асия –
на месте
озен, хотем и пэ.
И был также
АХАП в
Гальгальта-Эйнаим,
посредством
которого в
озен, хотем и пэ
произошел
подъем миров,
потому что за
счет присоединения
АХАП к
Гальгальта-Эйнаим
миры поднимаются.

Рис.23
Но
этот подъем
миров
осуществляется
посредством
подъема МАН,
за счет
человека, в
отличие от
подъемов
«тхум шаббат»
в шаббат. Есть
три подъема
миров. При
первом
подъеме озен
включается в
Гальгальта-Эйнаим,
при втором –
хотем, при третьем
– пэ. Три эти
подъема МАН
называются
«кидуш шаббат»,
«мусаф» и
«минха». Соответственно
трем этим
подъемам в Шаббат
есть три
подъема
миров за счет
МАН, а не за счет
шаббата.
От
разбиения
мира Некудим
остался еще
истинный
АХАП,
представляющий
собой клипу,
которую
нужно
выяснить и не
использовать.
Тем самым мы
прояснили
все разбитые
келим. Почему
система
миров
распространилась
именно таким
образом? Чего
мы этим
достигли?
Очень просто!
Была
Малхут
Бесконечности,
стадия далет,
получившая
свет. В
результате
этого
образовался
мир
Бесконечности.
Затем Малхут
совершила
Сокращение,
так как не
смогла вынести
своей
противоположности
Творцу. После
всех этих
действий,
совершив
Сокращение,
она пришла к
состоянию, в
котором
часть ее
соединилась
с Биной,
разбилась, и
тогда части
Бины вошли
внутрь
Малхут, смешались
вместе и из
этого
разбиения
была построена
система
парцуфим,
спускающихся
от Малхут
Бесконечности.
В этой
системе
парцуф
Гальгальта символизирует
Малхут
Бесконечности,
а после
Гальгальты образуется
система парцуфим
от пэ до табура
Гальгальты -
АБ, САГ, МА, БОН. Эта
система
выдает пять
светов НАРАНХАЙ
согласно
авиюту
экрана, силе
экрана,
согласно
келим.

Рис.24
Над
табуром
расположены
девять первых
сфирот, а под
ним – Малхут. Но
под табуром
находится не
только
Малхут. Мы
пришли к
состоянию, в
котором под
табуром есть
также часть,
называемая
клипой, причем
уже известно,
что эта часть
– клипа – 14
сфирот внизу.
Есть еще 16
сфирот
наверху – это
часть,
относящаяся
к святости, присоединяющаяся,
добавляющаяся
к ней, до хазэ
места БЕА.
Само
по себе место
БЕА – это Бина,
спустившаяся
в Малхут,
называемая
«тхум шаббат»,
где можно
совершать
какие-то
исправления
в определенных
состояниях. Над
местом БЕА
находится
место мира
Ацилут, в
котором
действительно
воцаряется
святость.
Прежде
такого не
было от табура
до сиюма.
Отсюда
нам ясно, как
Малхут
Бесконечности,
которую
символизирует
Гальгальта,
разделяется
относительно
творений на
миры – Адам
Кадмон,
Ацилут, Брия, Ецира,
Асия. Это
означает, что
Творец,
светящий
светом
Бесконечности,
сделал
селекцию,
градации
свойств
своей отдачи,
силы своего
света
относительно
творений в
соответствии
с авиютом
творения, его
экраном, согласно
тому, что
будет
происходить
с будущим
творением во
всевозможных
его
состояниях -
разбиениях,
исправлениях.
Но
пока еще нет
творения,
есть только
система
миров,
система
сокрытий,
скрывающих
свет,
исходящий от
Творца.
Образовался
некоторый
фильтр, пропускающий
свет Творца
через миры
АК, Ацилут,
Брия, Ецира,
Асия к
будущему
творению,
которого
пока еще
вообще не
существует.

Рис.25
До
сих пор мы
вообще не
говорили о
творении. Мы
обсуждали
парцуфим,
миры, решимот
и так далее,
но творения пока
еще нет. Мы
говорили
только о
системе Творца,
посредством
которой Он
опускает
света к
будущему
творению в
соответствии
с тем, что ему
потребуется.
Эта
система
построена в
АК в чистом
виде, потому
что он
соответствует
Кетеру, но
миры Ацилут,
Брия, Ецира,
Асия
построены
уже после
разбиения из
разбитых
келим. И
потому эта
система
понимает
творение во
всех его будущих
состояниях, и
неважно,
какими они
будут, -
разбившимися
или
исправленными.
Все
находится в
этой системе
и включено в
нее.
Таким
образом, мы
пришли к
состоянию, в
котором
существует
система,
готовая
заниматься
творением. На
следующих
уроках мы
будем изучать,
где
находится
творение, как
оно создается,
откуда
появляется, каков
его корень, и
что
происходит с
этим творением,
частями
которого мы
являемся, что
представляет
собой это
животное.
Перевела
Ирина Романова