Раскройте
для себя
высший мир.
14
сентября 2005
года
по
Предисловию
к книге Уста
мудреца
(Беседа
2)
Мы продолжаем сегодня изучать Предисловие к книге Уста мудреца. Это особенная книга, первая книга Бааль Сулама – набросок книги «Учения о Десяти Сфирот», которая является главной книгой в Каббале. В ней представлен весь механизм творения – как все действует, как нас приводят в действие, как мы включаемся в это и как через все действия системы достигаем стадии Конечного Исправления, мира Бесконечности.
До
написания «Учения
Десяти
Сфирот» (а это
сочинение
более чем на 2000
страниц) Бааль
Сулам начал,
но не
закончил
писать книгу,
которая
называется «Уста
мудреца»,
которая
является
предварительным
вариантом
книги «Учения
о Десяти
Сфирот». И как
водится он
написал к
этой книге
предисловие,
где
рассказывается,
как и в «Предисловии
к Учению о
Десяти
Сфирот», о
сути этой
книги, о том,
почему он ее
пишет.
Уже в самом начале этого предисловия он пишет, что без изучения науки Каббала человек не может достичь цели творения, и вынужден будет вновь перевоплощаться. Будучи даже знатоком Талмуда и Мишны и всего, что он себе может представить в этом мире, он не достигнет этой цели, потому что только изучение Каббалы исправляет душу, и только с ее помощью человек выполняет все, что он обязан выполнить в этом мире. Только при этом условии он не должен будет вновь возвращаться в этот мир для реализации своего предназначения.
Книга
«Каббала для
начинающих»
стр. 267.
И как суть
действительности,
распространилась
до своего
низшего окончания,
которым
является
материальное
тело с
облаченной в
него душой,
так и нисхождение
по закону
причины и
следствия
явилось
сутью
существования
действительности,
то есть
путями
воздействия
Творца, нисходящего
по ступеням.
Так что
предназначение
Высшего
света,
являющегося
наивысшим из
всех высших, -
распространиться
и достичь
души, облаченной
в
материальное
тело в этом
мире, как сказано:
"И
наполнится
земля
знанием о Творце,
и не будет
больше
человек
учить ближнего
своего
знаниям о
Нем, так как
все познают
Меня все, от
мала до
велика".
Реальность
такова, что
Высший свет
распространяется
из мира
Бесконечности
через все
миры в этот
мир, доходя и
касаясь
каждого, хотя
мы и не
ощущаем, не
чувствуем,
как это на
нас
воздействует.
Но жизненные
перипетии
приводят нас
к тому, что мы
все равно
будем вынуждены
раскрыть
тайну жизни,
ее цель. А
конечной
целью
является
полное
достижение
человеком
осознания
Высшей силы. «И
не будет
больше
человек
учить
ближнего своего
знаниям о
Творце», а
каждый
достигнет
уровня
Творца, уподобившись
Ему по
свойствам, он
станет равен
Ему во всем,
пребывая в
совершенстве
и существуя
вечно. И
таков удел
каждого.
И
наполнится
земля
знанием о
Творце,
Земля
(арец, рацон) –
это все наши
желания. А
желания – это
и есть все
творение. И
они будут
полны Высшим
светом,
светом
Творца. Арец,
рацон
(желание,
земля)
наполнится
знанием
Творца,
светом хохма,
наполнится
Творцом.
Света наполняют
келим
согласно
закону
подобия свойств.
То есть для
того, чтобы
человеку
наполниться
светом, чтобы
познать
действия
Творца,
понять Его,
наполниться
знанием о
Нем, он
должен
приобрести
те же самые
свойства. И
тогда он
сможет
достичь
совершенства
и вечности,
где
находится
Высшая сила.
Вопрос: Что
значит
наполниться
светом? Это
нечто устрашающее.
Что это
такое?
Во-первых,
это не
пугает,
потому что мы
созданы светом.
Свет – это
отдача. А
творение –
это кли для
получения. И
поэтому
наполниться
светом – это
значит
наполнить
все желания
творения. А
это,
согласись, не
плохо, и
вовсе не пугает.
Все
наслаждения,
которые ты можешь
себе
представить
сейчас, или
те, которых
когда-либо
захочешь –
все вместе
называются
свет. Свет и
наслаждение –
это одно и то же.
Как и
потребность,
желание, кли –
это все одно
и то же. И
вообще нет
ничего
большего, чем
желание и
наслаждение.

Рис.1.
Сумма всех этих наслаждений называется Творец. А все желания вместе называются творение. И нет ничего, кроме этих двух сил – один пуст и хочет получить наслаждение, а второй – это само наполнение, тоже хочет, но это желание дать. Один стремится дать другому, а второй стремится только получить наслаждение от первого. И в этом вся суть творения.
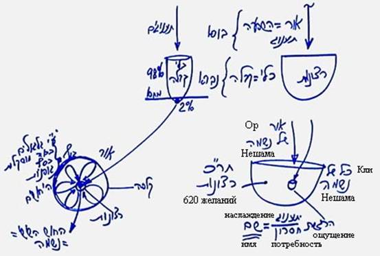
Мы
пребываем в
следующем
состоянии.
Внизу существует
некая точка,
и мы
находимся в
ней
изолированные
от всего, все
от нас
закрыто,
здесь перед
нами стоит
некий махсом
и поэтому
человек не
может
открыть свое
истинное кли.
То есть у
него еще есть
много всего,
но, как
известно,
человек
задействует
лишь 2
процента
своего мозга,
а 98 процентов
не
использует.
Рис.2.
Вы
только
представьте
себе, что то же
самое
происходит и
с прочими
нашими возможностями
– жить,
наслаждаться.
Поэтому наше
существование
сейчас
называется киста
де хаюта – это
жизнь ниже
линии жизни.
Например, у
человека
осталось 2
процента от
всего, что
есть в этой
жизни. Ты
можешь себе
представить
себе такого
человека?!
Без сознания
и почти неживой.
Таково наше
положение относительно
истинной
жизни. Наука
Каббала говорит
о том, как
получать, и
это не
пугает. Каббала
говорит о
том, как
получить все
наслаждения,
которые нам
уготованы.
Вопрос: Он
пишет, что
это «материальное
тело с
облаченной в
него душой». Какова
связь материального
тела с душой?
Мы
говорили о
том, что
обладаем
точкой в сердце.
Это та же
самая точка
(изображенная
на предыдущем
рисунке на
уровне
махсома). Но мы
начинаем ее
ощущать лишь
после
завершения
построения
тела. Тело –
это все
желания, которые
мы развиваем,
которые
развиваются
в нас в
процессе жизненных
кругооборотов.
Благодаря
пройденным
мной
кругооборотам
во мне
накоплены
желания к
телесным
страстям,
деньгам, почестям,
знаниям.

Рис.3.
И
когда они
достаточно
развиты, они
называются телом.
Это тело
обладает
пятью
органами чувств,
с помощью
которых я
ощущаю свой
мир. Что
значит мой
мир? Вокруг
меня все
заполнено светом.
Но вместо
подобающего
ему кли, у меня
имеются лишь
пять органов
чувств, когда
не в своей
точке в
сердце, а в
своих желаниях
через пять
органов
чувств я
представляю
себе картину
мира.
И
эта
возможность
видеть лишь
мою внутреннюю
картину – это
пока моя
клипа,
оболочка. Что
я должен
сделать? Мне
необходимо
развить свою
точку в сердце,
внутреннее
желание,
чтобы
благодаря этому
захотеть
существовать
не в мире
своих пяти
органов
чувств, а в
шестом
органе чувств,
который
называется
душа.
И сказано в
книге Зоар,
что вся Тора –
это имена
Творца.
Что означает это выражение? У меня есть разные желания. Душа – это кли, а то, что ее наполняет, называется свет души. Она содержит в себе желания – 620 желаний: 613 и еще 7. Каждое желание наполняется наслаждением, которого оно желает. Это называется наполнением желания наслаждением. И это совместное ощущение недостатка, и приходящего в него наслаждения, называется шем, имя.

Рис.4.
Когда
я говорю,
например,
куриный суп,
в духовном
это значит,
что речь идет
о самой реальности,
которая меня
наполняет, и
о том, как я
наслаждаюсь этим.
Невозможно
говорить о
чем-то, что
хотя бы
однажды не
раскрылось в
моем кли.
Важно, как я
это
чувствовал.
Как правило, шем,
имя
описывается
в виде
гематрии, в
числовом
выражении.
Имя выражает
желание и
наслаждение,
которое в
конечном
итоге
выражает для
меня то, что я
получаю от
Творца, от
Высшей силы.
Суммой всех
этих имен мне
представляется
Творец,
Дающий.
Согласно
моим потребностям,
желаниям и по
тем
наслаждениям,
которые
входят в эти
желания, я
познаю Его –
«по действиям
Твоим (по
тому, что Ты
мне даешь,
что Ты для
меня делаешь)
я познаю
Тебя». Все просто.
Наука
Каббала
говорит
конкретно по
делу,
практически,
просто.
И сказано в
книге Зоар,
что вся Тора –
это имена
Творца.
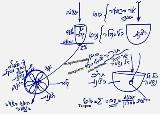
Тот
общий
приходящий
свет, который
наполняет
все души,
называется
Тора. И этот
свет
обладает
двумя
функциями. Он
исправляет и
называется «заключенный
в ней свет
возвращает к
Источнику». А
после завершения
исправления
келим, он
наполняет их,
раскрываясь
в них. Он
выполняет
две роли. Но это
все один и
тот же свет.

Рис.5.
Но
в чем же
разница?
Разница – в
кли, в том, что
кли хочет от
света. Если
кли желает
исправления,
он
исправляет. А
если кли
желает
наполнения
после
исправления –
наполняет, а
если до
исправления,
наоборот,
свет действует
на кли так,
что оно
ощущает
страдания, а
не
наполнения.
Оно ощущает
опустошенность.
Это
вынуждает
кли сначала
исправиться,
а затем уже
наполниться.
И все
исторические
рассказы, и
все законы, и
суды – это
имена Творца.
И поскольку
"то, что не
постигнуто,
не называем
по имени",
пойми, что тайна
имен Творца
заключается
в постижениях,
распространяющихся
от Него к
работникам
Его, пророкам
и
праведникам,
и каждый соответствует
им. И все это
великолепие
дается нам
принятием
Торы и
исполнением
заповедей
сначала
через
открытую
часть Торы,
обладающую
чудесным
свойством
очищать наши тела
и
увеличивать
наши души до
такого размера,
что станем мы
достойны
постижения
всей Торы и
заповедей,
как имен
Творца, что
является
будущим
вознаграждением
душ. Однако и
в этом мире,
как сказано:
мир свой
увидишь в своей
жизни".
Речь идет о том, что сначала мы должны исправить свое кли – кли души. Как написано, постичь тайны имен Творца, наполнения, исходящие от Творца. Это раскрытия, и мы должны их раскрыть.

Рис.6.
Каждое имя описывает мне, внутри моего кли действие Творца – как Творец действует на меня, что Он во мне делает, что Он делает со стороны своей отдачи, и как это пробуждает меня выполнить подобное действие ради Него. Это и называется раскрытием имен Творца внутри человека, внутри души.
Это происходит с помощью света, который называется Торой – светом, возвращающим к Источнику. Этот свет исправляет кли. Наша душа имеет 613 желаний. Душа – это кли, которое включает РАМАХ, 248 келим в ее Гальгальта вэ-Эйнаим – это выше хазе, а ниже хазе, до ее АХАП находятся ШАСА, 365 запретительных частей.
Всего получается 613, ТАРЪЯГ, и все они – это получающие свойства, которые необходимо исправить, присоединением намерения отдавать, которое исправляется только с помощью света, возвращающего к Источнику, называемого Тора. И когда у всех этих желаний появляется намерение отдавать Творцу в равной мере, подобно тому, как Он хочет отдавать человеку, в той мере эти желания наполняются наслаждениями, светами.
А света, которые наполняют келим, в сущности, и называются именами Творца. Каждое такое наслаждение, наполнение говорит мне об источнике, о Творце, поэтому называется шем кадош (имя Творца). Так я познаю Творца тем или иным образом, познаю то, как Он относится к каждому и ко всем творениям. Это присоединение намерения отдавать к каждому желанию называется выполнением заповедей. А затем идет этап изучения Торы, то есть получение света внутрь исправленных келим.

Рис.7.
Получается, в Торе есть несколько моментов. Сначала свет приходит и будит нас – это Окружающий свет. Он дает нам желание, потребность. А после того, как мы пробудились, после подъема первого МАНа, свет приходит к нам и начинает нас исправлять. Когда первый раз я поднимаю МАН, я только хочу, не зная, что точно мне хочется. Второй МАН – это когда я уже желаю исправления, тогда приходит свет, возвращающий к Источнику. А после того, как я себя исправил, я поднимаю МАН ради наполнения, и тогда приходит свет, наполняющий меня.
Каждый раз этот свет можно назвать Торой, и можно давать Ему разные имена, согласно Его воздействиям на меня. Но лишь последний свет, который несет кли наполнение, дает понимание Творца, понимание Его святых имен. Он дает мне имена, наполнения. А до этого были только исправления, подготовка. Мы всегда должны понимать, о каком действии идет речь. А все имена вместе называются Тора.
Вопрос: Связано ли
это с той
Торой,
которая
написана
Моше?
Это не важно, все каббалисты описывают нам тот же процесс, который мы и проходим. Моше написал это в одном стиле, Талмуд написан в ином стиле. Одни описывали это языком Каббалы, другие – языком Мидраша, языком ТАНАХА, Сказаний, Алахи. И не важно, каким образом, но все книги описывают нам один и тот же процесс. Да им и не о чем больше писать. О чем они еще могут написать? О том, как тебе устроиться в этом мире? Какой в этом смысл?
Еще в начале «Предисловия к книге Уста мудреца» он пишет, что даже если ты преуспеешь во всем, что есть в этом мире – это все не стоящее дело, ты не использовал свой кругооборот. И ты просто теряешь кругооборот, если не постиг духовное в течение этой своей жизни. Тогда тебе придется вновь перевоплощаться. Ты опять родишься у матери, которая у тебя будет, и вновь – детский сад, школа и так далее – все, как обычно, до появления последующих возможностей.
Вопрос: Но я имел в виду, что он писал о том, что вся Тора – это святые имена Творца...
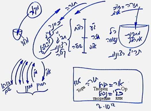
Тора – это сумма всех светов, которые наполняют все части души, все части Адама Ришон, постепенно и в общей сложности. То есть когда 7 млрд. человек, живущих в этом мире пройдут свое развитие и каждый наполнит себя в этом процессе – получается 7 млрд умноженное на все 125 ступеней, которые они должны будут пройти.

Рис.8.
Общая душа разделилась на 600 000 душ, или пусть это будет 7 млрд. Каждая из них должна пройти 125 ступеней, и наполниться. И тогда раскроется общее кли и общий свет. Общее кли – это творение, а общий свет – это Творец. Творец одевается в творение, Творец входит внутрь творения. Все света, которые раскрывает человек, называются Тора. Все эти келим, для того, чтобы наполниться светами, должны быть похожи на свет, согласно закону подобия свойств.

Рис.9.
Это происходит и на уровне этого мира: если я хочу что-либо почувствовать, мне необходимо обладать совместными свойствами с тем, что я хочу почувствовать. Кли, которое себя исправляет, ради уподобления свету, называется исраэль – прямо к Творцу, то есть имеет направленность к тому же свойству. Получается, что исраэль – общее кли, орайта – Тора и Творец – это объединение света, единая мысль – это одно единое целое. И все находятся в единой структуре – свет, кли и намерение во имя отдачи, что называется экраном. Все три компонента – как одно единое целое.

Рис.10.
И в этом
разъясняется
нам то, что в
нескольких
местах в Зоар
называется
613-ю
заповедями итин
дэ-орайта
(советами как
исправить
кли), и во
множестве
мест в Зоар
названо 613-ю
заповедями
пкудин
(светами,
которые
должны зайти
в исправленное
кли). И
вначале
человек
должен сохранять
Тору и
заповеди,
чтобы
очистить свое
тело и
увеличить
душу.
То есть приходящий свет сначала исправляет душу. Это исправление подразделяется на множество этапов, мы изучаем это в «Учении о Десяти Сфирот». Это действия в мире Ацилут. Есть дадей беэма (сосцы животного) – это когда парцуф Атик светит душам, НАРАН де-нешамот, находящимся ниже парсы, пробуждая их. Человек начинает просыпаться, еще не зная, что он хочет. Далее эти воздействия становятся более направленными, и тогда он уже начинает тянуться к чему-то. Ему все больше проясняется. Все эти действия необходимы для того, чтобы возбудить келим, затем их исправить, а затем и наполнить их. Поэтому есть свет исправления и свет наполнения – это два этапа.
Тогда 613
заповедей
находятся у
него в итин, то
есть
являются для
него
советами как
все-таки
удостоиться
и предстать
перед Творцом,
Что значит предстать перед Творцом? Известно, что существует свойство, называемое Творец – отдача, и свойство, называемое творение – получение. А разница между ними – это совершенная противоположность. Это необходимо для того, чтобы человек начал сам приближаться, и по мере своего приближения, наполнять себя, став совершенно подобным Творцу. Поэтому он носит такое имя – адам, от слова эдаме (уподобиться) Высшему.

Рис.11.
Он должен получить исправляющие его света, и тогда приблизиться. Это приближение не предполагает действия телом, а происходит лишь благодаря изменению желаний. И только свет, который создал эти желания, может их исправить. Поэтому в нашей работе нам должно быть понятно, что мы не можем исправить себя, а лишь достичь состояния требования исправления.
наполненным
его светом,
так как
сохранение
Торы и исполнение
заповедей
постепенно
очищают его
так, что
удостаивается
раскрытия
Творца.
Постепенно – это значит человек исправляет постепенно все желания, пока не исправит все 613 своих желаний, достигнув полностью исправленного и равного Творцу состояния. Тогда он получает наполнение, то есть ступень, состояние Творца.

Рис.12.
Как сказано:
"Какая
разница
Творцу –
убивают
приносимое в
жертву
животное с
затылка или
перерезают
ему горло?
Творец не требует от нас исправления на уровне выполнения каких-то механических действий, потому что таким образом не исправить желание. Я могу выполнять действия своими руками, ногами и говорить исключительные вещи, оставаясь внутри с теми же отвратительными намерениями и желаниями. И это нам знакомо по нашей жизни, это заложено в природе каждого. Так Творцу не важно, как ты убиваешь животное – с затылка или перерезав горло, хотя указано перерезать горло, и убив его иначе, ты делаешь его некашерным. Но Творцу не столь важны механические действия, потому что они не исправляют душу, Ему важны действия, исправляющие душу.
Поэтому
он написал
вначале о
том, что даже
тот, кто
знает весь
Талмуд и
Мишну,
законченный
праведник по
всем
действиям,
никогда не
грешивший, умирая
и оставаясь в
виде души,
открывает,
что ничего не
сделал, и
должен вновь
возвращаться
в этот мир. То же
самое он
говорит и
здесь, но
несколько иначе.
Ты можешь
делать
тысячи
прекрасных
дел, которые
называются Тора
и заповеди,
но это не
истинные
Тора и заповеди.
Они не
предназначены
для исправления
желания. Нам
известны
люди, которые
досконально
знают Талмуд
и Мишну, но
они не совсем
праведны. И
хотя мы тоже
не
праведники,
но хотя бы не
думаем так о
себе.
Ведь Тора и
заповеди
даны не для
чего другого,
как только
соединить
ими народ
Израиля"
Соединить – это значит очистить, исправить келим. Наши келим, наши желания – это те же самые 613 желаний.

Рис.13.
Творец создал их на уровне мира Бесконечности, и там было 613 желаний. Этот набор желаний неизменен. Но речь идет о том, чтобы в каждом из этих желаний достичь отдачи. Затем эти желания спустились и разбились, и тогда мы получаем те же 613 желаний, но обратно направленных – на получение. Хотя это те же самые 613 желаний. Разница между ними в намерениях – получение это или отдача, в том, как я использую те же самые желания.
Когда
человек
решает, что
будет
использовать
свои желания
для того,
чтобы в ответ
отдавать, ему
начинает
раскрываться
одно, затем
два, затем
три, далее
четыре
желания и так
далее. Ему не
раскрываются
одновременно
613 желаний. Он
этого просто
не выдержит,
они раскрываются
постепенно.
Это и
называется исправлением
желаний,
иначе,
выполнением заповедей.
Именно об
этих
желаниях,
этих заповедях
говорит Тора
и этого ждет
от нас Творец.
Однако
после того,
как в
достаточной
степени
очистит свои
потребности
и удостоится света
Творца,
раскроются
глаза его и
душа его, и
постигнет он
613 светов,
содержащихся
в 613 заповедях,
что является
тайной имен
Творца, то
есть
приходят к их
постижению. И
посредством
исполнения
каждой заповеди
получает
часть света,
заключенную
в ней, так как
заповедь
является
тайной кли. И
в него
облачается
свет, то есть
имя Творца,
относящееся
к этой
заповеди, как
сказано: "заповедь
– свеча, а Тора –
свет".
Каждое из 613 желаний должно быть исправлено с помощью намерения отдавать, для этого приходит свет и наполняет желание. Исправление кли называется заповедью. Получение света во имя отдачи, называется изучением Торы. Что значит изучение? Это означает познание Творца с помощью света, который тебя наполняет.

Рис.14.
Это и называется изучением Торы. И таковы все действия, которые мы только и должны выполнить. Смысл этого, по сути, в исправлении намерения – работа с теми желаниями, которые в нас просыпаются.
И это
называется – 613
заповедей
получения светов.
Это похоже на
человека,
который
сложил в
сосуд
драгоценные
камни и
жемчужины и
сказал
любимому им
человеку: "Возьми
сосуд, но
береги его от
рук воров". И получается,
что говорят
они о сосуде,
но имеют в
виду
находящиеся
в нем
драгоценные
камни.
Известно из книг Каббалы, что тайна имени Творца заключена в имени АВАЯ, которое включает в себя все имена Творца на всех ступенях. И потому "Творец, свет Его и Исраэль едины", несмотря на то, что массы не видят в Торе ничего, кроме исторических рассказов, законов, и судов.
Происходит
исправление
келим, что
называется
выполнением
613 эйтин,
советов, а
затем
происходит
раскрытие
имен,
познание
Творца, что
называется
осуществлением
пкудин, от
слова пикадон
(вложение).
Потому что
это уже
существует в мире
Бесконечности,
но лишь
спускается в
келим
человека, в
той мере, в
которой
человек себя
исправляет.
Об этом лишь
и говорится в
книгах по
Каббале. И у
человека в
этом мире нет
никакой иной
роли, кроме
того, чтобы заниматься
этим.
Каждый,
кто начинает
этим
заниматься,
начинает
понимать, что
все
происходящее
с ним и со
всем
человечеством,
все события
этого мира –
все устроено
так, чтобы
только этим и
занимались.
То есть не
зная заранее,
что с ним
происходит в
жизни,
человек,
начиная этим
заниматься,
понимает, что
вся жизнь
организована
так, чтобы
заниматься
именно этим.
Тогда он
видит, что
каждая
мелочь в
жизни очень
важна, и ее можно
использовать
эффективно
для достижения
Гмар Тикун
(Конечного
Исправления).
Тогда ему
проясняется
ответ на
вопрос, в чем смысл
жизни,
которым
задавался
изначально и
который
исходит из
точки в
сердце.
Вопрос: Какова
причина того,
что
каббалисты
прошлых
поколений
взяли законы
Высшего мира
и превратили
их в указания
Алахи – утром
делать так,
вечером – так,
то есть в те
заповеди, которые
нам знакомы...
Потому
что не было
выбора. После
раскрытия Высшего
мира, которое
впервые было
сделано
праотцом Авраамом,
им была
создана
группа
учеников из людей,
живущих в
Ур-Касдим,
которая
получила название
йегудим,
от слова ихуд
(объединение),
стремящихся
к
объединению
с Творцом.
Вся группа
достигла
духовного постижения,
раскрытия
Творца, и
жила с этим
как в период
до, так и
после выхода
из Египта,
как в период
входа в
страну Кнаан
(Израиль), так
и в периоды
завоевания
страны, в
период
Первого
Храма. А
когда он был
разрушен, они
упали с
духовного
уровня в
какой-то
степени, упали
с уровня мохин
де-хая до
уровня мохин
де-нешама. А
после
разрушения
Второго
Храма был
утерян и этот
уровень мохин
де-нешама, то
есть весь
свет ушел из
всех душ. И
они перестали
ощущать
духовный мир.
Весь
народ
пребывал на
уровне, когда
вместо любви
к ближнему
все начали
ощущать синат
хинам (беспричинную
ненависть).
Это означает
падение с
духовного на
материальный
уровень, ушел
свет, и теперь
человек
находится в
иной
действительности.
Это
властвует
над ним, то
есть то, что он
ощущает в
своих келим –
властвует
над ним. Ведь
неважно, что
я вчера поел,
сегодня я
вновь
голоден, а
еще через
день-два буду
способен
думать
только о
пище, на которую
когда-то не
мог уже
смотреть.
Действительность,
пустое или
наполненное
кли, и чем оно
наполнено
или пусто –
это то, что довлеет,
властвует
над
человеком.
Потому что он
всего-навсего
желание. А
когда люди
пришли к
ситуации,
когда исчез
свет, они
превратились
в то, что
соответствует
этому – в обычных
людей. Мы и по
себе
чувствуем,
что тот, кто
продвигается,
поднимаясь
по ступеням...
Известно, что
рабби Шимон,
который
находится на
уровне одной
ступени перед
Гмар Тикун,
падает на
уровень
Шимона с рынка,
и как он
полностью
погружен в
это. А там, где
человек
находится,
это он из
себя и представляет.
И тогда
вместо
духовных действий,
занятий
возвышенным,
человек вдруг
начинает
ощущать этот
мир, и
начинает объяснять
то, что он
знает, с
уровня этого
мира. Да и те
каббалисты,
которые
оставались в постижении
обоих миров,
а таких было
много, и в
каждом
поколении тоже
были... Рабби
Шимон был
учеником
рабби Акива,
который был
каббалистом
в своем
поколении, в
период разрушения
Храма. Именно
каббалисты
настаивали,
чтобы Тора и
заповеди
выполнялись
в то время и в
обычном
понимании,
потому что
таким
образом
можно было
сохранить народ
в рамках в
течение
тысячелетий
до периода
Возрождения,
и это то, что
сохранило
народ. На
материальном
уровне тебе и
не может
раскрыться
иного.
Но после
того, как
народ
Израиля
прошел 2000-летний
период
спуска, а
народы мира
поднимались
в своем
развитии от
желаний к
телесным
наслаждениям,
денег, почета
к желанию
знаний, все
пришли в
какой-то момент
к ситуации,
когда в
результате
их смешения,
сближения
понятий, при
возрастании
эго как тех,
так и других
в процессе
раздельного
развития,
началось их
совместное
развитие.
Почему
происходит
развитие
вообще? Потому
что в
человеке
растет эго,
постоянно развивается
духовный ген.
В результате
все приходят
к началу
периода
совместного
развития –
народа
Израиля и
народов мира
– для того,
чтобы
исправить
выросшие во
всех смыслах
келим.
И тогда
часть народа
Израиля
выходит из религиозной
среды, от
этих обычаев
по привычке
резать
животному
горло, а не
убивать с затылка.
Это
происходит,
когда им это
становится
уже не важно,
у них
появляются
иные, большие
потребности
и желания, и
они не могут
выполнять
лишь эти
вещи. Но часть
осталась, и
их не
трогают. Не
трогают ни
тех ни
других.
Каббалисты
оставляют
свободу и тем
и другим.
Затем
начинают
просыпаться
и народы
мира. И тогда
как написано
в книге Зоар,
в конце 20 – начале
21 века
начинается
раскрытие
науки
Каббала, чтобы
души пришли к
тому
состоянию,
когда уже будут
готовы
начать
исправления.
Весь
период, когда
души
пребывали в
процессе
приобретения
желаний,
внешнее
выполнение
Торы и
заповедей
было
необходимо и
это было
правильно, и
это хранило
народ на
материальном
уровне.
Конечно же
этого не
достаточно, и
не верно, и
нельзя
удовлетворяться
этим, ты можешь
сказать все,
что ты
хочешь. Но
это все относительно
духовного,
когда
приходит его
время. А если
еще не пришло
время
исправления,
человек,
который
выполняет
Тору и заповеди
на
материальном
уровне,
соблюдает некие
рамки, и это
является
правильной
формой
существования.
Такая
форма
называется домем
де-кдуша
(духовно
неживой). Он
не
исправляет
себя, не изменяется,
не
поднимается в
духовном, но
соблюдает
минимальный
уровень
существования
в святости –
выполняет заповеди
без
какого-либо
понимания, и
вообще без
чего бы то ни
было. Он не
использует
это для того,
чтобы больше
заработать,
преуспеть на
поприще
славы или в
чем-то ином.
Это обычный
добропорядочный
верующий
еврей. И
таких
немного.
Таков смысл
понятия домем
де-кдуша. Он
ничего сам не
хочет, просто
верит, и этого
ему
достаточно.
Но когда
вырастает
эго, все это
рушится. Он не
может
обойтись без
ответа на
вопрос «для чего
я это делаю?».
Эго начинает
требовать
ответа. Тогда
и начинается
кризис
воспитания,
кризис внутри
иудаизма,
начинаются
внутренние брожения.
И все это
происходит в
преддверии исправлений.
Мы
достаточно
близки ко
всем этим
процессам.
Однако я уже разъяснял смысл выражения "золотые яблоки в серебряной оправе", что называется 613–ю заповедями получения светов. И как сказано мудрецами: "Вся Тора – это имена Творца", и потому "Тора и Творец едины", но в тайне "общее и частное", где Творец – это совокупность всех имен и общий свет, а Тора разделяется на 613 светов. И получается, что все вместе они едины и представляют собой самого Творца.
И сейчас нам осталось выяснить, что представляет собой Исраэль. Сначала нужно понять, что означает множество разделенных форм в духовном, то есть, как и для чего они разделены и отделены одна от другой. В материальном одно от другого можно отделить с помощью ножа или место и время отделяют и разделяют их. Но невозможно представить себе такого в духовном, которое вне времени и пространства.
Однако знай, что в духовном все различие между Высшими светами не что иное, как отличие свойств. В отношении разумных душ, что в людях, конечно же, каждая из душ отделена и отдалена одна от другой. Однако основой отделения является отличие свойств, то есть, душа у одного хорошая, у другого плохая, у третьего умная или глупая и т.д. Как сказано: "Как отличаются друг от друга лица, так отличаются и их мнения".
Мы
изучаем, что
Творец
создал
творение с помощью
света. Это
кли
называется
душой. И если
мы хотим
соотнести
это творение
со светом, то в
нем нет
одинаковых
желаний.

Рис.15.
Желания
различаются
по уровню,
величине, по
мощи эго в
каждом
желании –
силе желания,
величине
желания. И по
характеру желания.
Получается,
что в каждом
из них нет чего-то,
чем бы оно ни
отличалось
от других. Это
у нас
называется
взаимовключением
сфирот. Это
общее кли мы
называем
Адам Ришон, и в
него каждый
включен в
форме,
отличающей его
от других. Но
чем же они
объединены?
Вначале
они
соединены
вместе тем,
что Творец
своей
отдачей,
своей силой
объединяет всех
вместе. И все
они – это
клетки,
органы, части
одного тела,
связанные
между собой
бесконечным
количеством
связей,
тысячей систем.
Так это
выглядит со
стороны
Творца.
А со
своей
стороны
творение
хочет
достичь уровня
Творца. После
разбиения
все части
этой системы,
которая уже
не является
системой,
ощущают себя
отделенными
друг от
друга. Это
называется
уровнем
нашего мира,
где каждый
изолирован
от другого,
независим от
него,
стремясь
лишь его
использовать.
Но мы должны
вновь
достичь
состояния,
когда все объединены
как один
человек с
одним сердцем.
Это
состояние,
когда
Исраэль, исра
к-Эль (прямо к
Творцу),
потому что
ради этого
происходит
объединение,
и Творец, с
другой стороны,
оба вместе
становятся
равны, превращаясь
в единое
целое.
Но
объединение
душ возможно
потому, что
они разные, и
одна
дополняет
другую. Это
похоже на то,
как в
мозаике, в
пазеле,
каждая деталь
представляет
из себя
особую часть,
которая
точно
вставляется
между
другими. Так
каждый
дополняет всех,
и дополняет
не только
тех, с кем
находится
рядом, он
дополняет
всю мозаику,
как в голографической
картине. Он
дополняет
собой все
остальные
части. Это
исходит из
взаимовключения
сфирот, душ
одна в
другую, когда
каждый
связан со
всеми.
Поэтому
когда каждый
исправляет
свою связь со
всеми, удостаивается
целого
парцуфа Адам
Ришон.
Вопрос: Как я
понял, мы все
должны
вернуться в
начальное
состояние –
на рисунке
это верхний
круг. Но ведь
это
предыдущее
состояние
разбилось?
Разбился
лишь экран.
Мы пребывали
в состоянии,
когда имели
экран данный
нам Высшей силой.
А теперь
должны сами
построить
экран с помощью
света,
возвращающего
к источнику. Мы
просим, и это
происходит.
Экран – это
намерение во
имя отдачи,
когда устанавливается
соответствие
между нами,
находящимися
в этом мире, и
Высшей силой
духовного
мира.

Рис.16.
Вместе с
тем понятно,
если бы все
люди обладали
одинаковым
образованием
и одинаковыми
склонностями,
то и души
людей были бы
одной душой.
И по
значимости
она была бы
как свет
солнца, который
заливает
всех людей
так, что
совершенно
невозможно
различить,
что есть
раздельные
формы. Так и
одна душа
была
облачена во
множество
тел, так как
пространство
абсолютно не
отделяет
духовные
сущности, если
только нет
разницы в их
свойствах.
А теперь
приступим к
разъяснению.
Уже известно,
что тайна душ
сынов
Израиля – это
тайна
Божественной
части свыше,
причем душа
нисходила по
закону
причины и
следствия,
спускаясь от
ступени к
ступени, пока
не стала
пригодной,
чтобы прийти
в этот мир и
облачиться в
грязное,
материальное
тело. И
посредством соблюдения
Торы и
выполнения
заповедей восходит
от ступени к
ступени, пока
не восполнится
ее объем и не
станет
достойной
получить
свое
вознаграждение
от
Совершенного,
уготованное
для нее
заранее, т.е.
постижение
святой Торы
как имен
Творца,
является тайной
613-ти
заповедей
получения
светов.
Какое сложное предложение! Если прочитать его кому-то на улице, он скажет: «Прекрасно, все понятно». Но это то, что мы должны делать: чтобы пройти весь этот процесс, мы должны вызвать на себя влияние Высшего света, чтобы он исправил нас, как свет, возвращающий к источнику. Мы выполним таким образом 613 эйцот (советов) относительно каждого своего желания, и придем к состоянию, когда наполним их 613 пкудин (светами) – наполнением, которое положено этим желаниям.
Тем самым мы достигнем того же действия отдачи – и как Творец относится к нам, так и мы будем относиться к Нему. Дается кли, и надо его наполнить. Это то, что творение должно выполнить. Этим мы точно уподобляемся Творцу. Он несет нам наслаждение тем, что дает нам, а мы даем Ему наслаждение тем, что получаем от Него. И так мы выполняем 613 пкудин, получений светов.
Перевод Рут
Готлиб. Оформление
рисунков
Александр
Раин.