Раскройте
для себя
высший мир
9
сентября 2005
года
«Статья
в завершение
Книги Зоар»
(Беседа
4)
До
сих пор мы
говорили о
том, что цель
творения –
слияние
человека с
Творцом, а Творец
– это сила
отдачи. Чтобы
достичь цели,
человек
должен стать
дающим. Где
мы можем этому
научиться?
Этому учатся
в окружении
людей. Творец
скрылся,
предоставив
нам взамен
человеческое
общество. Если
мы хотим
выйти из себя
и достичь
подобия
Творцу,
необходимо
произвести
исправление,
называемое
любовь к
ближнему. То
есть вместо
любви к себе
повернуться
в направлении
любви к
ближнему.
Делая это
ради
достижения
любви к Творцу,
ради
достижения тхунат ашпаа (свойства
отдачи),
человек
становится
дающим по
своей
внутренней
программе: в
разуме и в
чувствах.
Ведь любить
Творца
означает, любить
свойство
отдачи,
включиться в
него,
пребывать в
нем, жить в
нем. Как
говорит
Бааль Сулам,
это очень
сложно.
Человек не в
силах
осуществить
такое самоисправление,
потому как не
желает
отдавать,
прямо-таки ненавидит
свойство
отдачи.
Однако при
изучении
науки
Каббала на
человека
светит
Высший свет,
называемый
Торой, который
обладает
силой,
возвращающей
к источнику.
В результате
человек
начинает
ощущать,
насколько он
противоположен
Дающему, насколько
Дающий велик,
совершенен,
вечен по сравнению
с ним. И тогда
человек
готов просить
у Творца
произвести в
нем
исправления.
Он
приходит в
группу,
принимает
участие в ее
работе,
пытается
быть дающим,
любящим,
преданным ей.
Если он,
действительно,
старается, то
впоследствии
замечает, что
это
невозможно.
Наряду с
таким
ощущением он
твердо
уверен, что
только
Творец
способен ему
помочь. Но
человек,
который не
старается принизить
себя перед
товарищами и
достичь любви
к ним
собственными
силами,
никогда не
ощутит, что
это
невозможно.
Вместе с тем
он не ощутит,
что достичь
любви к
товарищам может
помочь
только
Творец, не
ощутит целесообразности
достижения
свойства
отдачи.
Дело
в том, что все
такого рода
мысли,
ощущения,
приходят с
Высшим
светом,
который
нисходит на
человека
только
согласно его
усилиям.
Невзирая на
тщетность
этих усилий,
отчаяние, в
которое
впадает
человек,
оправдано,
ибо приводит
его к
молитве,
крику о помощи
- поднятию
МАН. Это как
раз то, что
нужно - настоящая,
правильная
просьба. И
тогда по просьбе
человека,
действительно,
желающего и
готового
исправиться,
Творец заменяет
его природу
на другую,
благодаря
чему он
начинает
ощущать
свойство
отдачи, ощущать
Высший мир,
духовное
пространство,
и жить в нем.
Таким
образом,
человек
приходит к
исправлению,
достигает
цели.
Цель
творения
определяется
одним словом:
слияние.
Почему?
Слияние в
духовном
называется
полной
идентичностью
свойств,
желаний,
мыслей,
намерений -
всего, что
характеризует
человека, в
чем он
ощущает свою
индивидуальность,
свою суть. По
всем этим
параметрам
человек
начинает
ощущать себя
равным
Высшей силе,
буквально во
всем – как Он,
так и я, что во
мне, то и в Нем…
Таким
образом,
человек
постепенно
перестает
ощущать,
будто между
ними есть какое-либо
различие,
пока они не
становятся
как одно
целое,
поскольку
между ними
нет больше
никакой
разницы: одна
и та же мысль,
одно и то же
желание, одно
и то же намерение,
одни и те же
стремления.
Теперь в
человеке нет
ничего, что
как-то
отклонялось
бы от того,
что
находится в
Творце.
Поэтому
человек
теряет
ощущение некой
преграды
между собой и
Творцом, она
исчезает.
Творец и
человек
превращаются
в одно целое.
Человек
становится
как Творец.
Это не просто
подобие
Творцу. В
нашей речи
нет слов,
которые
говорили бы о
таком
единстве.
Явление,
когда
человек
становится как
Творец,
называется: Исраэль,
Тора и Творец
едины.
«Исраэль» - это
человек,
желающий достичь
Творца. «Тора» -
все света,
все исправления,
все мысли,
все, что
человек
исправил, достигнув
окончательной
формы своего
кли, и весь
наполняющий
его свет, т.е.
свет и исправленное
кли вместе
взятые. «Творец»
- это общий
свет
Бесконечности.
И все эти три
компонента -
едины. Такое
состояние
называется Гмар
Тикун (Окончательное
Исправление).
Достичь его
обязаны все
без исключения,
независимо
от
национальности,
расы, возраста,
пола и пр. Так
говорит Бааль
Сулам в
статьях
«Сущность
науки
Каббала», «Мир»
и др. Все
человечество
обязано
достичь
Окончательного
исправления
во время своего
пребывания в
этом мире.
Книга
«Каббала для
начинающих»,
продолжим
чтение
статьи на
странице 32.
И
уже говорилось,
что полное
слияние и
совершенное
постижение
делятся на 125
общих
ступеней, и
потому до
прихода
Машиаха
невозможно
удостоиться
всех 125-ти
ступеней. И
есть два
отличия в поколении
Машиаха по
сравнению со
всеми остальными
поколениями.
Существует Высший
мир и этот
мир. Человек
должен, пройдя
через миры
Асия, Ецира,
Брия, Ацилут
и Адам Кадмон,
достичь мира
Бесконечности.
Мир Бесконечности
соответствует
Окончательному
Исправлению.
Каждый мир
состоит из
пяти парцуфим (духовных
объектов). В
свою очередь
каждый
парцуф
построен из
пяти
ступеней или
сфирот. В
общей
сложности: 5 x 5 x5 = 125

Рис.1
Итак, от
нашего мира,
или от нашего
состояния, до
мира
Бесконечности,
иными словами,
до состояния
полного
слияния, 125
ступеней.
Нет
расстояний, нет
какого-либо
движения,
кроме
внутреннего
движения в
человеке, в
результате
которого он
изменяется,
улучшается, с
каждым разом
все больше и
больше
уравнивая
свои свойства
с миром
Бесконечности.
Мир
Бесконечности
- это
совершенная
отдача. А мы в
этом мире
пребываем в
состоянии
«абсолютного»,
законченного
получения.

Рис.2
Исправление
осуществляется
путем
постепенного
прохождения
человеком 125
внутренних
изменений, в
результате
которых, избавляясь
от эго и
соединяясь с
другими душами,
он все шире и
шире
раскрывает
свое кли.
Поначалу
человек
находится
сам в себе, но
затем, выйдя
из себя
наружу,
достигает
состояния
Адам Ришон.
Внутри себя
он мог
ощущать
только киста
дэ-хаюта – (незначительную
жизненную
силу для
поддержания
существования).
Это очень слабое
ощущение
жизни - нэр дакик, тонкая
свеча,
искорка.

Рис.3
Но,
достигнув
кли Адам
Ришон, человек
получает все
ТАРАХ
(буквенное
обозначения
числа 620)
желаний с
экраном,
поскольку
обретает это
кли с
намерением аль менат
леашпиа (во
имя отдачи). И
тогда Высший
свет
благодаря зивуг дэ-акаа
(ударному
соединению)
входит в кли
в виде Ор Пними (внутреннего
света), и
здесь
происходит
их совокупление,
что и
называется двекут (слиянием).

Рис.4
Итак, выход
из себя и
достижение
человеком
состояния
Адам Ришон
осуществляется
в 125 этапов.

Рис.5
Вопрос: Что такое
масах (экран)?
Масах - это
использование
желания на
благо других.
Разумеется, в
Талмуде
Десяти
Сфирот - иное
определение.
Но пока
остановимся
на таком,
более
понятном
пояснении.
Вопрос: Что
значит ТАРАХ?
Это
совокупность
всех
существующих
в нас
желаний. Их
наличие в
себе мы не
ощущаем, но
они
находятся в
каждом из
нас. Мне даже
неизвестно,
сколько у
меня желаний
в этом мире, я
их не считаю. Я
хочу и то, и то,
и то,
использовать
в таком или
ином виде… Я
ничего не
измеряю, да и
не должен
измерять в
духовном
мире. Это
число
указывает на
то, что мы в
целом
обязаны
исправить
все пробудившиеся
в нас
желания.
Можно
возразить,
дескать, мы
говорили о
том, что кли
каждого из
нас
относится к
какой-то части
общей
системы Адам
Ришон,
скажем, к левой
руке.
Допустим, это
частная душа.
Так что, она
тоже должна
исправлять 620
желаний, относящихся
к
жизнедеятельности
всего организма?
Какое она
имеет
отношение к
работе
сердца, мозга
или ноги?

Рис.6
Как
мы уже учили,
существует взаимовключение
десяти
сфирот.

Рис.7.
Десять
сфирот
прямого
света соединяются
с десятью
сфирот
отраженного
света,
верхний и
нижний
треугольник
соединяются
между собой и
включаются
друг в друга.
Поэтому
каждая частица
тела
включает в
себя весь
организм. Такое
явление
лучше всего
изучать на
примере
десяти
сфирот. 620
желаний и
десять сфирот
- это одно и то
же.
Какая
все-таки
разница
между числом
620 и десятью
сфирот?
Десять
сфирот, как я
уже отмечал,
делятся на
РАМАХ
(буквенное
обозначение
числа 248), ШАСА
(буквенное
обозначение
числа 365) и заин
(буква,
обозначающая
число 7)
частей. В
общей сложности
получается 620.
Это те же
десять сфирот.

Рис.8
Итак, каждая
сфира
включает в
себя все
остальные
сфирот и воздействует
на них,
разумеется, с
различной степенью
значимости.
Но
количество
частей в
каждой сфире
одно и то же.
Поэтому
говорится,
что каждой душе
необходимо
исправить 620
желаний. 620
частей или
десять
сфирот –
таково
строение
любой души.
Не
стоит на это
особо
обращать
внимание,
поскольку мы
не умеем и
вообще не
способны
дифференцировать,
каким-то
образом классифицировать
наши желания.
Такого рода
занятия нас
абсолютно не
касаются. Но
когда мы говорим
о слиянии
внутри
желания
отдавать другим
и Творцу,
лишь тогда к
нам приходит
осознание,
что такое
желание,
какова его
правильная
реализация, и
понимание,
что ТАРАХ - это
все желания:
«все кости
мои скажут».
И
есть два
отличия в
поколении
Машиаха по
сравнению
со
всеми
остальными
поколениями.
Мы в
течение
истории,
начиная от
первобытного
человека,
прошли путь,
скажем, в
сорок тысяч
лет. В
нулевом году
по
еврейскому
календарю
родился Адам.
Его называют
Адам Ришон.
Это человек,
в котором
впервые
раскрылась
точка в
сердце. Позже
то же самое
случилось с
Авраамом,
Моше и так
далее... В итоге
каждый
обязан
прийти к
такому же
состоянию,
спросив: «Кто
я? Что со мной
происходит?»
Пока что это
все история.

Рис.9.
Сегодня, как
говорит
Бааль Сулам,
мы стоим
перед
началом
процесса
Окончательного
Исправления.
Мы уже
относимся к поколению
Машиаха. И
есть разница
между всеми
предшествующими
годами и
временем Машиаха.
Раньше
Каббала была
тайной
наукой, и только
отдельные
души
удостаивались
божественного
осознания,
чтобы
развивать
науку Каббала.
Весь мир:
как народы
мира, так и
народ
Израиля, - шел
вперед
гонимый
страданиями,
пока не
достиг того,
что
перемешались
все келим,
исчерпались
все
подготовительные
состояния. И
сейчас мы
вступаем в
период
Машиаха. В
чем же
разница
между всем
предшествующим
историческим
периодом и
нашим временем,
временем
Машиаха?
1.
Только в
поколении
Машиаха
можно постичь
все 125
ступеней, но
не в прочих
поколениях.
2. Во
всех
поколениях
взошедшие,
удостоившиеся
постижения и
слияния,
малочисленны,
как сказали
наши мудрецы
о фразе:
«Одного человека
из тысячи
нашел Я.
Тысяча
входит в
комнату, и
один выходит
к свету», т.е., к
слиянию и постижению,
как сказано:
«И наполнится
земля знанием
Творца. И не
будут более учить
один другого
и брат брата,
говоря: «Познайте
Творца», - ибо
все познают
Меня, от мала, до
велика».
Однако это
не относится
к Рашби и
его
поколению,
т.е.,
постигшим
«Зоар» (в прошлом, а
не в наше
время). Они
полностью
постигли все
125 ступеней, несмотря
на то, что
было это до
прихода Машиаха.
Это о нем и
его учениках
сказано:
«Мудрец
предпочтительнее
пророка».
Они
выступали в
роли Кетер
перед изгнанием.
В них таилась
вся духовная
информация,
которая
должна
раскрыться
впоследствии
после изгнания.
Обнаружив ее
как бы для
себя, они скрыли
ее в своих
келим, чтобы
сохранить до
наших времен,
когда она
откроется
всем. Как мы изучаем,
есть Кетер, и
есть Малхут.
В Кетер содержится
весь свет, а
Малхут
обязана полностью
раскрыть кли,
и тогда в нем
раскрывается
весь тот
свет, что
находился в
Кетер.
Ту
же функцию
выполнили Рашби и
его ученики.
Они являются хевра кадиша
(святой
группой) раби
Шимона и
представляют
собой десять
полных сфирот,
наполненных
светами
Окончательного
исправления,
но только в
потенциале, а
не в общем
всего мира,
всего Адама
Ришон. Мы
сейчас
находимся в
конце изгнания
- в конце
развития
келим, когда
между собой
перемешались
все келим
дэ-ашпаа (отдающие
сосуды) и келим дэ-каббала
(получающие
сосуды), т.е.
разбитые
Бина и Малхут.
И теперь,
когда они
начинают
приходить к
исправлению,
в них
раскроется
весь свет,
который Рашби
и его ученики
притянули и
удерживали в
своих келим
благодаря их
чистоте, ибо
находились
на уровне
сфиры Кетер.
Нам
необходимо с помощью
Ор Хозэр
(отраженного
света) из
нашего
грубого кли,
из Малхут достичь
той же
чистоты и
того же
наполнения.
И
поэтому
много раз
говорится в
«Зоар», что не
будет
поколения,
подобного
поколению Рашби,
вплоть до
поколения
Машиаха.
Поэтому его великая
книга
произвела на
мир столь
сильное
впечатление,
ведь тайны
Торы,
заключенные
в ней,
охватывают
высоту всех 125
ступеней.
В этом и
заключается
особенность
Книги Зоар,
чего, в
сущности, нет
ни в каком другом
произведении.
Дело вовсе не
в том, что какие-то
каббалисты
были более
великие, а
какие-то -
менее. Как
писал Бааль
Сулам, раби
Акива,
безусловно,
знал намного
больше, чем раби Шимон,
однако не мог
раскрыть
этого, у него
была другая
функция.
Поэтому
нельзя
измерять, сопоставлять
каким-то
своим
наивным
способом, кто
из каббалистов
больше, кто
меньше.
Каждый из них
работает в
соответствии
с тем, что ему
предписано
свыше. Именно
так мы и
должны
относиться к
этому
вопросу.
И
потому в
самой книге
«Зоар»
сказано, что
«Зоар»
раскроется
лишь в конце
дней, т.е. в дни
Машиаха
На
протяжении
всей истории
каждый, кто
обладал
духовным
постижением,
знал об этом
и писал в
своих трудах.
И в самом
деле, читая
произведения
каббалистов,
мы находим,
что многие из
них
высказывали
такое же
мнение.
поскольку,
как мы
говорили,
если ступени
изучающих не
равны
ступени
автора, то
они не поймут
его намеков,
так как нет у них
общего
постижения. А
поскольку
ступень
постигших
«Зоар» - это все
125 ступеней, то
невозможно
постичь их до
прихода
Машиаха. Получается,
что в
поколениях,
предшествующих
приходу
Машиаха, нет
общего
постижения с
автором «Зоара»,
и потому не
мог «Зоар»
раскрыться в
тех поколениях,
что
предшествовали
поколению
Машиаха.
И
это явное
доказательство
того, что
наше
поколение
уже подошло к
периоду Машиаха,
поскольку
видно, что
все
предшествующие
разъяснения
на книгу
«Зоар» не
разъяснили
даже десяти
процентов из
трудных мест,
встречающихся
в нем. Да и в
той малости,
которую
разъяснили, –
туманны их
слова, почти
как слова
самого «Зоара».
А в нашем
поколении
удостоились
мы комментария
«Сулам»,
являющегося
полным комментарием
на все,
сказанное в «Зоаре».
И
кроме того,
что не
оставляет во
всем «Зоаре»
ни одной
неясности, не
объяснив ее,
разъяснения
также
основаны на
простом
здравом смысле,
и любой
изучающий
может их
понять. И тот
факт, что
«Зоар»
раскрылся в
этом поколении,
является
явным
доказательством
того, что мы
уже
находимся в
начале
периода Машиаха,
и являемся
тем
поколением, о
котором сказано:
«И наполнится
земля
знанием
Творца».
Несомненно,
комментарий
«Сулам» - это
особое
толкование
Книги Зоар,
которое
раскрывает
ее на всех
уровнях. Имеется
в виду, что
Книга Зоар
благодаря
комментарию
«Сулам», может
привести
человека, погруженного внутрь
самого
толкования, к
Окончательному
исправлению.
Этот комментарий
очень
отличается
от самой
Книги Зоар по
своему
характеру,
стилю, языку -
по всем
видимым нам
параметрам.
Зоар - это
зарисовки,
описания,
рассказы, его
речь внешне,
и даже
внутренне,
звучит иначе,
чем
комментарий
«Сулам».
Бааль Сулам
подчеркивает,
что есть
спасение
через сердце,
и есть
спасение через
разум. Это
два разных
подхода к
человеку,
чтобы дать
ему конец
спасительной
нити. Он
установил,
что в наше
время путь к
сердцу лежит
только через
разум.
Разумеется,
исправление
происходит в
сердце - в
желаниях, но
подойти к
нему можно
только через
разум.
Поэтому
комментарий
Бааль Сулама
на Книгу Зоар
– это в
основном
разъяснение
процесса
трех линий.
Это
процесс,
который
человек
должен пройти
на каждой
ступени,
исправляя
свои решимот,
пробуждающиеся
в каждом
состоянии. Но
это, конечно,
открыто лишь
для тех, кто
находится в
процессе
духовного постижения.
А для тех,
кто пока еще
не постиг, не
ощутил
Высший мир,
еще не
приступил к
четкой и
ясной работе
со своими
келим,
целесообразней
вызывать на
себя свет,
приходящий
при изучении
Талмуда
Десяти Сфирот.
В нем Каббала
изложена в
сконцентрированной
форме,
близкой
современному
человеку,
начавшему
заниматься
этой наукой.
Здесь важно
не само
разъяснение,
а то, что свет,
возвращающий
к источнику,
соответствует
душам,
живущим в
нашем
поколении. Воздействие
такого света
мощнее и
эффективнее.
А
впоследствии,
когда
человек начинает
подниматься
по духовным
ступеням, разумеется,
Книга Зоар, и
в частности
комментарий
«Сулам»,
становятся
для него
инструкцией,
проводником
в его
духовном
процессе в
Высших мирах.
И
следует
знать, что в
духовном не
так как в
материальном,
в котором
отдача и получение
происходят
одновременно,
поскольку в
духовном –
отдельно
время отдачи
и время
получения.
Вначале
Творец дает
получающему,
но этим ему
предоставляется
лишь возможность
получить.
Получающий
еще ничего не
получил. Он
должен
очиститься
до нужной
степени и
тогда
удостаивается
получения.
Так что от
отдачи до
получения
может пройти
много
времени.
И,
несмотря на
то, что об
этом
поколении
сказано, что
оно уже достигло
состояния: «И
наполнится
земля знанием
Творца», –
сказано это
лишь с точки
зрения отдачи.
Но получения
мы, конечно
же, еще не достигли.
И когда
очистимся,
научимся и
приложим
усилия в
желательной
мере – придет
время
получения и
осуществится
в нас сказанное:
«И наполнится
земля
знанием
Творца».
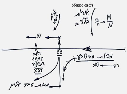
Описывая
историю
человечества,
Бааль Сулам
отмечает, что
с 1995 года,
по еврейскому
календарю – 5755 год, на
нас воздействует
сила,
возвращающая
к источнику. Он
установил,
что это
началось уже
с конца 19 - начала
20 века. А
мы уже
находимся в 21
веке. Полученная
нами земля
Израиля была
дарована нам
свыше, чтобы
мы начали
самостоятельно
приобретать
духовную
землю
Израиля. С тех
пор мы
серьезно
отстаем,
поскольку сила
отдачи,
находящаяся
наверху, не
уравновешена
снизу
противостоящей
ей силой нашей
готовности и
осознания.
Именно
поэтому в 20
веке нас
настигли
столь
тяжелые
удары.
Но с 1995 года,
как
определил
Бааль Сулам,
и как видно
воочию, во
всем мире
начало
просыпаться
желание к
духовному.
Пока расчет
ведется с
теми, кто
получил
возбуждение
свыше. Этого
достаточно,
потому что в
духовном
определяющим
фактором
является не
количество, а
качество.
Вопрос в том,
насколько те,
в ком
проснулась
точка в
сердце, возбудятся
и продолжат
развиваться
правильным
образом.
Итак, отдача
свыше
осуществляется,
как в общем,
так и в
индивидуальном
аспекте, уже
с начала 20
века, и в
особенности
с начала 21
века. Света
Машиаха, по
сути дела, существуют
и уготованы
нам. Все
теперь
зависит от
готовности
наших келим.

Рис.10
Вопрос:
Какова
связь между
тем, что
пришло
временя исправления
и тем, что мы
получаем
удары?
Связь
проста.
Удары,
наносимые
человечеству
и народу
Израиля
тысячелетиями
на
протяжении
всей истории,
были
получены от
природы, т.е.
на животном
уровне. Мы
бежали от
ударов,
бежали от
плохого к
хорошему. Так
осуществлялась
эволюция
человечества.
Если ему
становится
плохо в одном
- придумывает
другое, плохо
здесь -
находит там,
можно
создать что-то
лучше -
изобретает
новое и
заменяет им
старое,
невозможно
терпеть -
делаем
революцию. И
так
человечество
развивалось.
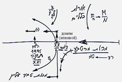
А евреи не развивались.
По крайней
мере,
последние 2000 лет
они
находились в
состоянии домэм дэ-кдуша
(неживой
уровень
святости).

Рис.11
Когда
начали
нисходить
света Машиаха,
и возникла
готовность
свыше, с
этого момента
и далее стали
приходить
удары не от животной,
а от Высшей
природы.
Прежде
нисходили
общие света,
что
называется
просто природой.

Рис.12
Свет, воздействовший
на творение,
всякий раз
возбуждал
решимот: от
более
маленького к
более
крупному и
т.д., вследствие
чего
творение
развивалось,
проходило
кругообороты.
Сейчас нисходят
совершенно
другие света
- света
Машиаха. Это
дано свыше.
То есть свыше
осуществляется
давление,
намного
более
сильное, чем
прежде. В
результате
разница
между нашим
состоянием и
светами
становится
еще больше.
Под
воздействием
светов мы
начали портиться:
развилась
система
образования
и
просвещения,
произошел
отрыв от
религии,
возникло
светское
общество и
т.п. - человек
стал более
эгоистичным
и отдалился
от духовного.
Впрочем, во
всем, что
касается
духовного, добро
и зло всегда
рядом. И это
произошло посредством
светов,
которые
таким
образом продвигали
человечество.
Под воздействием
светов
Машиаха люди
становятся
еще хуже. В
течение 20
века евреи
опустились
по своим
качествам и
не
прогрессировали
относительно
цели. Их
решимот
стали
большими. С маленькими
решимот они
были как домэм
дэ-кдуша:
молились,
потихоньку
работали,
что-то делали,
как их
деды-прадеды,
как и везде
евреи 200 – 300 лет
тому назад.
Нынче
такого нет.
Желание
наслаждаться
выросло, и
евреи не
удержались в
состоянии домэм дэ-кдуша.
Я ни в коем
случае не
сожалею об
этом. Но они не
присоединили
свое падение
к духовному
продвижению.
А если бы
присоединили,
то, поднялись
бы вверх с
уровня домэм
дэ-кдуша.

Рис.13
Исправляя
растущее эго,
ты поднимаешься
в духовный
мир. А если не
исправляешь его,
оно опускает
тебя в
материальность.
Таким
образом, мы
не просто
запаздываем,
мы отстали
значительно
со знаком
минус. Все
видят, что с
нами произошло
за последние
100 лет. И
страдания
усиливаются.
Нам не
поможет
проведение
всевозможных
политических
манипуляций
или что-то в
этом роде.
Неспроста
сказано, что
в дни Машиаха
будут
крупные
войны, и
станет «лицо поколения,
как морда
собаки» и пр.
Есть даже
высказывания
каббалистов,
которые
говорили,
насколько им
не хочется
жить в
поколении
Машиаха. Дело
в том, что света,
стоящие
напротив
неисправленных
келим, вызывают
в них разного
рода
нежелательные
явления,
тяжелые
состояния.
Известно,
что
избавление и
совершенство
постижения
переплетены
друг с
другом. Знамение
же в том, что
каждого,
имеющего
тягу к тайнам
Торы,
притягивает
земля
Израиля. И потому
обещано нам,
что
«наполнится
земля
знанием
Творца» лишь
в конце дней,
т.е. во время
избавления.
Земля
Израиля в
духовном
мире и земля
Израиля в
материальном
мире связаны
друг с
другом, как
корень с
ветвью.
Еврейский народ
находится
здесь на
земле
Израиля как ветвь,
потому что из
его корня
начал
нисходить
свет Машиаха.
Евреи
вернулись
обратно к ветви
- в землю
Израиля,
благодаря
Высшим светам.

Рис.14
Но это не
означает, что
они сами заслужили
такое
возвращение.
В результате
они оказались
в еще худшем состоянии.
Сегодня
еврейский народ в
виде
неисправленной
части
пребывает в
земле
Израиля, т.е. в
ветви
духовного мира,
которая
является
исправленной.
Сама земля не
является
чем-то
неисправным,
поэтому
евреи
оказались в
еще большем
противостоянии
с духовным
миром – и даже
как ветвь
относительно
корня.
Если я,
будучи
испорченной
частью, нахожусь
в изгнании, -
это
нормально.
Но, если я как
часть,
пребывающая
в изгнании,
возвращаюсь
в том же
испорченном
виде в землю
Израиля,
такое
возвращение
не вяжется с
моим
неисправленным
состоянием. В
итоге я
чувствую
себя намного
хуже. И
действительно,
многие
репатрианты
чувствуют
себя здесь
хуже, чем за
границей. И
только те, у
кого есть
тяга к
духовному,
возвращаясь
в Израиль,
чувствуют
себя хорошо,
поскольку в
них
совпадают
ветвь и
корень.
Предоставь
сейчас людям
возможность
уехать
отсюда, дай
им нужную
сумму
денег,
чтобы
устроиться в
другом месте,
и увидишь,
сколько из
них
останется.
Таким
образом, как
в отношении
совершенства
постижения
мы
удостоились
еще не
времени
получения, а
лишь времени
вручения, в
силу чего
дается нам
возможность
достичь
совершенства
постижения,
так и в отношении
избавления –
удостоились
мы только в виде
вручения.
Ведь тот
факт, что
Творец освободил
нашу землю от
власти
чужаков и вернул
ее нам, еще не
означает, что
мы получили эту
землю,
поскольку не
пришло еще
время получения,
как было
разъяснено и
в отношении совершенства
постижения.
Евреи еще не
получили
землю Израиля
в свои руки,
имеется в
виду, в свои келим дэ-каббала
(получающие
сосуды). В них
еще не
сформировались
условия для
прихода
света
Машиаха, для
властвования
земли
Израиля - так
называемых свойств
Бины.
Таким
образом,
Творец дал,
но мы еще не
получили.
Ведь нет у
нас
экономической
независимости,
а без нее
государство
не может быть
независимым.
Более того,
не может быть
избавления
тела без избавления
души. И
покуда
большинство
населяющих
эту землю
находятся в
плену чуждых
культур иных
народов и
совершенно
не способны
воспринять
идею
стремления к
Творцу, то и тела
находятся в
плену чуждых
сил. И с этой
точки зрения
эта земля все
еще
находится в
руках
чужаков,
Все
зависит от
души. Среди
наших учеников
есть такие,
которые от
рождения не
принадлежат
народу
Израиля.
Однако они
относятся к
нему
согласно
имеющейся в
них точке в
сердце и
хотят
находиться
здесь. А
среди
живущих
здесь и
принадлежащих
на земном
уровне
народу
Израиля есть
такие, кто
отсюда
убегает.
Сколько
евреев в
Америке?!
Существует
внутренняя
причина такого
явления. Она
заключается
в том, что
невозможна
никакая иная
связь между
ветвью и
корнем, как
на
материальном,
так и на духовном
уровнях, а
также между
этими двумя уровнями,
кроме той,
которая
основана на
соответствии
внутреннего
содержания. И
это явно
ощущается.
Я не
беру в расчет
тех, кому
здесь
выгодно жить
по каким-то
земным,
материальным
соображениям.
Попробуй, отними
у них все
блага…. Пока
им,
разумеется, стоит
сидеть здесь.
Человеку
хорошо в
Израиле с той
точки зрения,
когда он
ощущает это место
только при
условии, что
в нем есть
тяга к
духовному.
И
так люди
живут здесь,
не ощущая своей
принадлежности
этому месту.
Они создали
для себя
какую-то
неестественную
среду, не
имеющую к
нему
никакого
отношения, в
которой и
существуют.
Как только
искусственная
среда
исчезнет, они
не выдержат
здесь и
секунды, тут
же убегут, поскольку ощутят
огромную
разницу между
собой и этой
землей.
Ведь
духовное
несоответствие
невыносимо.
Только дай им
возможность
удрать, они
прыгнут в
море, убегут
отсюда
любыми немыслимыми
путями.
Настолько в
Израиле была
бы
нестерпимой
жизнь, и люди
так плохо бы
себя
чувствовали,
если бы здесь
не было некой
неестественной
внешней
формы
существования.
Дело в том,
что свойство
земли
Израиля
разительно
отличается от
того, что
сегодня
называется
народом Израиля.
Вопрос: Непонятно,
какая связь
между тем,
что пришло
время
достичь
духовной
ступени,
именуемой
земля
Израиля, и
тем, что на
материальном
уровне мы
находимся в
Израиле.
Связь
проста. Что
такое время?
Развитие
всех душ.
Адам Ришон
претерпел
разбиение. С
тех пор в
течение
истории человечества
проявляются
его осколки -
разбитые
келим. Сейчас
они должны
раскрыться
во взаимовключении
келим дэ-каббала
и келим
дэ-ашпаа (получающих
и отдающих
сосудов).
Келим
дэ-ашпаа
– это народ
Израиля, а келим
дэ-каббала
– это народы
мира. Они
должны
перемешаться
между собой и
по окончании
смешения
достичь
состояния,
когда им
необходимо
приступить к
исправлению.
Приходят
света,
именуемые
светами
Машиаха, и
начинается
процесс исправления.

Рис.15
Таким
образом, в
конце взаимовключения
келим
начинается
исправление.
Келим уже готовы.
В начале 20
века каждое
кли
настолько включилось
во все другие
келим, что
ему больше
нечего
включить в
себя в своем
материальном
состоянии. Взаимовключение,
конечно, продолжится,
но уже с
помощью
Высших
светов. То
есть взаимовключение
и
исправление
теперь будут
осуществляться
вместе. Это и
есть понятие
времени.
Падение,
вызванное
разбиением
келим, закончилось,
достигнув
последней
ступени. И относительно
этих
наихудших
состояний в
человечестве
начало
созревать
решение, что
оно не хочет
в них
оставаться.
Вопрос: Бааль
Сулам
говорит: у кого
есть тяга к
тайнам Торы,
у того есть
тяга к земле
Израиля. Если
у человека
есть тяга к
тайнам Торы,
к чему-то
духовному,
связанному с
его душой,
какая
разница, где
находится
его тело, в
Израиле или
не в Израиле?
Человек
воспринимает
реальность пока
только своим
телом. Что
значит телом?
То есть через
материальные
желания.
Благодаря
зрению,
слуху,
обонянию,
вкусу и
осязанию, возникшие
впечатления
передаются
желаниям
материального
уровня. Так
человек ощущает
мир.
Оставь мир,
оставь землю
Израиля и пр.
Внешним,
самым
наружным
одеянием
духовного
мира
является
этот мир.
Какая
разница? Назови
такое
облачение,
такую
картину не
материальной,
что
изменится?
Это еще одна
оболочка,
покрывающая
духовные
силы. Однако
именно через
нее ты
контактируешь
с окружающим
миром.
Напрашивается
вопрос: в
таком случае,
как быть со
всеми
действиями
человека? Но
речь идет не
о действиях
человека, а о
его
внутреннем
отношении, о
его сердце,
об
исправлении
сердца. Бааль
Сулам не
говорит, что,
возвратившись
физически в Израиль,
ты должен
обрабатывать
землю, заняться
сельским
хозяйством и
т.п.
Он
говорит:
поскольку
пробудилось якобы
твое тело, и
ты прибыл в
материальную
землю Израиля,
тебе следует
понять, что
тем самым
тебя
возвращают в
духовную
землю
Израиля. А ты
все еще не
хочешь туда
возвращаться.
Повторяю,
возвращение
наших тел в
землю
Израиля - признак
того, что
наши души
силой свыше
уже
возвращены в
духовную
землю
Израиля. А мы
в своем
желании не
соответствуем
тому, что
делает
Творец.
Приходящий
свыше свет
находится в такой
позиции, что
мое кли
обязано уже в
какой-то мере
быть слитым с
ним
посредством
экрана. Но я
все еще не готов
к этому.
Таким
образом, свет
стоит напротив
моих келим,
не имеющих
экрана. В
таком
состоянии
свет для меня
- тьма. Ведь
ощущение
света в
данном
случае
противоречило
бы Цимцуму Алеф (Первому
Сокращению).
Свет
удалился из
кли и
находится
снаружи в
отдалении. И
я издалека
ощущаю его
как мрак.

Рис.16
Именно это и
называется
отдачей Творца
свыше. Такой
отдачей
Творец
вынуждает
нас на
физическом
уровне
возвращаться
в землю
Израиля. В
материальном
мире нам ничего
более не надо
исправлять,
мы уже
вернулись!
Творец сам
производит
все перемещения.
Нам лишь
необходимо
исправить желание
так, чтобы
оно
соответствовало
свету. Итак,
решимот,
которые в нас
сейчас пробуждаются,
должны
просто-напросто
исправиться
посредством
экрана.
Ничего
другого на
тебя не
возложено.
Не
ты
устанавливаешь
связь между ветвью
и корнем.
Разве,
перемещаясь
в этом мире с
места на
место, ты
определяешь,
куда тебе
двигаться?
Сверху
приходят
света и перемещают
тебя, как
кусочек
железа,
который притягивается
магнитом.
Никто не в
состоянии
произвести
расчет,
почему ему
пришло в
голову
изменить
свое
местоположение,
почему он
решил, что
стоит так
поступить.
Все это
делаем не мы.
Нам
необходимо подготовить
свое желание,
привести его
в соответствие
с тем, что мы
получаем
свыше, или
вернее, с тем,
что нам дают
свыше. Как
говорит
Бааль Сулам,
есть время
вручения, и
есть время
получения.
Вопрос: Согласно
разбираемому
принципу,
человек находится
в Израиле в
соответствии
со своим
стремлением
к духовному.
Как в связи с
этим объяснить,
что в народе
Израиля
сегодня
можно выявить
две группы,
которые
очень сильно
держаться за
эту землю:
одни - крайне
правые, ратующие
за неделимую
землю
Израиля,
другие - ультра
религиозные
евреи. Что,
они тоже стремятся
к духовному?
Я бы
сказал, да.
Религиозный
человек - домэм дэ-кдуша
(неживой
уровень
святости) не
движется, не
прогрессирует
относительно
цели творения,
поскольку не
вооружен
наукой
Каббала, чтобы
исправлять
себя, чтобы
продвигаться.
Но,
несомненно,
он пребывает
в состоянии,
близком к
земле
Израиля.
Такой
человек учит
свою Тору,
исполняет
свои
заповеди, т.е.
совершает
действия на
неживом
уровне. И
этим он связан
с землей
Израиля.
Разумеется
это определенный
вид связи,
только
неживого
уровня.
Такие вещи
очень сложно
объяснить и
трудно
понять. У
некоторых
складывается
впечатление,
будто в своих
разъяснениях
я выступаю
против
религиозного
населения. Я ни
в коем случае
не против, не
дай Бог. Кто
получил
такое
воспитание,
хочет и готов
выполнять
так
называемую
Тору масс, т.е.
неживого
духовного
уровня,
находится в
том состоянии,
которому
соответствует.
Ведь все
существующее
– это определенный
порядок сил и
желаний.
Такому
человеку
предстоит
впоследствии
обнаружить,
что этого
недостаточно.
Придет его
время, и он
ощутит, что
есть еще
желания,
которые
необходимо
исправить,
чтобы, на
самом деле,
осуществить
слияние с
Творцом не в
действии, а в
намерении,
что и
является
духовностью.
Все это еще
придет.
Однако,
такие люди,
конечно же,
ощущают
связь с
землей
Израиля.
Также ее ощущают
и обычные
религиозные,
ратующие за неделимую
землю
Израиля, и им
подобные… Они
совершают
всевозможные
действия,
связанные с
этой страной,
с любовью к
земле Израиля.
Кроме того,
довольно
тяжело
выяснить,
насколько, с
психологической
точки зрения
такая
привязанность
является
следствием
катастрофы
европейского
еврейства и других
событий,
пережитых
народом
Израиля. Все
это
складывается
вместе, здесь
нет четкого,
зрелого
анализа. Он
возможен
исключительно
при условии,
когда
человек
начинает
анализировать
себя
относительно
цели
творения, чего
нет ни в той,
ни в другой
группе людей.
Но,
безусловно,
религиозные
находятся с
землей
Израиля в
более тесной
связи, чем
нерелигиозное
население. В
этом нет сомнения,
потому что у
них на
неживом
уровне имеется
связь с Торой
– со светом,
что и дает им силы,
подкрепление.
Нельзя
сказать, что
это происходит
не в
соответствии
с их желанием.
Что
значит
неживой
духовный
уровень?
Человек
выполняет
заповеди так,
как его научили,
как он
привык. Из-за
своей чистоты
он не в
состоянии
произвести
настоящий
самоанализ
относительно
цели творения.
Он пока
находится на
таком уровне авиюта
(силы,
глубины
желания), что
ему хватает
физического
исполнения
заповедей.
Постепенно
и это
портится,
потому как
среди религиозного
населения
тоже
усиливается
эгоизм. Его
каким-то
образом
необходимо
исправлять,
покрывать.
Ничего не
поделаешь.
Но, в конце
концов, все
придет к
исправлению.
Нам
еще
предстоит
выяснить
такие понятия,
как
религиозный,
светский
человек, каббалист,
изучающий
Каббалу. Это
не просто. Но
пренебрегать
нельзя ничем,
ни одной
частью народа.
Перевела
Лена
Агафонова.
Оформление
рисунков
Лариса
Томашевская.