Раскройте
для себя
высший мир.
11
августа 2005
года
Введение
в науку
Каббала.
(Беседа 2)
Все
творение в
целом
является
предметом изучения
науки
Каббала. И
касается не
только этого
мира или его
отдельных
частей – неживой,
растительной,
животной и
человека,
наук этого мира,
которые
изучают
неживое,
растительное,
животное,
человека, а
всего
мироздания в
общем.
Исключительные
люди, которые
открыли особый
орган
ощущения,
особое кли,
начинают
через
материю
раскрывать
силы, которые
за ней стоят.
И тогда им
раскрывается
та же часть,
что видим и
мы, и плюс та
часть
картины, которая
находится за
пределами
нашей картины.
Скрытую
часть они
называют
скрытым миром,
Высшим миром,
духовным
миром. А нашу
часть
называют
низшим
материальным
миром. То
есть картина
делится на
две части.
Но
почему
скрытую
обратную
часть
картины, где
как на
изнанке
вышивки
видны стежки,
соединяющие
вышитое
полотно, и
где видно,
почему
соединяются
те или иные
части, то
есть картина
как бы
дополняется –
почему ту
часть,
которая
дополняет
нашу картину,
называют Высшим
миром? Потому
что когда мы
это раскрываем,
мы
обнаруживаем
те причины,
те силы, качества
и программы,
которые
создают картину.
А в открытой
относительно
нас части, она
выглядит
ясной, уже
существующей
картиной. То,
что
представляется
нашим глазам,
кажется
законченным,
созданным,
существующим
как факт.
Некоторые
вещи нам
кажутся случайными,
что-то
происходит
то тут, то там.
Человек не
знает, что
случится
через
мгновение,
завтра. Все
эти вещи
скрыты, и
приводятся в
действие
обратной
скрытой
половиной
картины. И
поэтому эта
часть
мироздания называется
Высшей.
А
когда мы
постигаем ее,
нам
раскрывается
вся картина
полностью,
тогда не
остается ничего,
что казалось
бы случайным,
какими-то чудесами,
а все ясно,
все понятно в
обоих частях
картины – как
в раскрытой,
так и на
обратной
скрытой
части полотна.
Все
становится
одной единой
частью. И
тогда
человек
понимает, что
с ним
происходит, и
что он
находится в
целостной
системе
мироздания.
Если
он
отождествляет
себя, как с
внутренней,
то есть
близкой его
естественным
чувствам
картиной
реальности,
так и с
обратной
стороной
этой картины,
с теми нитями
связей,
которые
объединяют
обратную
сторону
реальности,
он живет в
обеих частях
реальности.
Но это не
значит, что
ранее видимая
ему картина
исчезает, и
он перестает
ориентироваться.
Он живет, а
когда переходит
и на обратную
сторону
реальности в
течение 70 лет
жизни, все
становится
для него
единой картиной.
И здесь нет
ничего, что
отключало бы
его от
действительности.
Он живет в
совершенной
и вечной
реальности.
Вся эта действительность представляет собой единую материю – желание наслаждаться, в котором существуют разнообразные уровни, виды и качества внутри самого желания наслаждаться. Они соединяются между собой разными способами, воздействуют друг на друга, хотя в конечном итоге это все желание наслаждаться, но одна его часть хочет наслаждаться одним, а другая другим, одна за счет одного, а еще одна, исходя из иного расчета. Между ними идет борьба, объединение, разделение, подобно большому правительству с его огромной политической жизнью, когда одно соединяется, другое разрушается, падает или поднимается.
Наука Каббала изучает всю действительность в общем, ее общий закон, кто властвует над всей этой действительностью, по какому закону эта действительность функционирует, ее начало, процесс развития и ее конец. А может быть она бесконечна в смысле развития? Все, что находится в этой реальности, включая силу, которая управляет ею извне, со всеми процессами, со всей материей, заключенной в ней, со всеми ее многочисленными деталями – со всем, что есть внутри – все это называется наукой Каббала.
А когда каббалисты приходят к тому, что могут охватить всю действительность, они описывают нам ее, как юд-кей-вав-кей – имя. Что такое имя? Это раскрытие единой Высшей силы, которая работает внутри этой материи. А сегодня мы будем учить о том, как эта реальность была создана с помощью этой Высшей силы, и как она функционирует, согласно ее основным правилам.
Каббалисты
говорят, что
раньше всего
был Ацмуто.
Это то, что мы
не постигаем.
И пока мы это
не постигли,
у нас нет
возможности
об этом
говорить.
Связь
Ацмуто с нами
называется
свет, или Творец.
Распространение
света к нам
называется
стадией шореш
(корневая
стадия). Что
такое свет? Что
такое Творец?
Это – Дающий.
Но что Он
дает? Он дает
добро и
наслаждение.
Это то, что Он
дает – нам.
Есть ли у
него что-то,
кроме этого?
Нет. То есть
Он постоянен,
Он Добр и
творит Добро
хорошим и
плохим
постоянно.
Этот свет пребывает
в абсолютном
покое. То
есть Он
постоянно
хочет отдавать.
И не важно,
что будет
здесь внизу,
Он действует
только так, и
с его стороны
нет никакого
изменения.
Отсюда
исходит
множество
последствий.

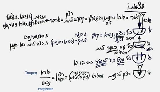
Рис.1.
Мы
никогда не
должны
обращаться к
свету. Оставь
его, он
неизменен. На
него мы не
можем ничем
воздействовать.
Вызвать в
нем, в его
воздействии
какие-то
изменения -
невозможно.
Пусть даже не
дай Б-г
плохие. Хотя
что-то плохое
мы
изначально
не можем желать
для себя. А с
его стороны
мы не можем
вызвать ни
плохое, ни
хорошее –
ничего.
Высший свет
пребывает в
полном покое,
Творец себя
не меняет, Он
Добр и Творит
Добро, как
для плохих,
так и для
хороших. И ты
можешь быть
совершенно
плохой или
полностью
хороший,
законченный
грешник,
законченный
праведник,
средний – не
важно какой –
Он для всех
Добр и Творит
Добро. Таково
Его
отношение.
У
этого света
есть желание
дать. Но это
желание не
является
недостатком,
оно исходит из
совершенства
– поскольку
Он Добр, Он
наслаждает.
Но это желание
присутствует.
Иногда это
желание дать мы
называем
любовью. Его
любовь
выражается в
том, что Он
хочет отдавать
постоянно, Он
постоянно
желает
давать добро.
И это значит,
что уже в
стадии шореш,
которая
называется
его Замыслом,
Он хочет, чтобы
появилось творение,
чтобы оно
было
самостоятельным,
и чтобы оно
стало
подобным Ему.
Потому что нет
ничего лучше,
чем Творец,
чем любовь,
чем отдача –
нечто
совершенное
и вечное.
Ведь если Он
Добр и Творит
Добро, он не
может стать причиной
чего-то
меньшего, чем
это максимальное
Добро.

Рис.2.
И
кроме того,
если это так,
это должно
быть немедленно,
а не после
того, когда
из тебя «вытрясут»
душу, и не
после того,
как ты
поработаешь,
попотеешь, а
потом Он за
это тебе воздаст.
То есть это
должно быть
немедленно и
бесплатно.
Существует
еще много
всего, но это
все исходит
из желания
насладить. И
что бы вы
себе ни
представили:
хотели бы
заработать,
что бы вы
вообще ни
захотели, -
все это уже
должно присутствовать
в Замысле Творения.
Это
относится,
как к
эгоисту, так и
к лентяю, и
вообще к
любому, кого
бы вы ни взяли
для примера.
Все уже
заложено в
Замысле Творения.
Хотя, почему
мы этого не
ощущаем и не
совсем видим,
что так
происходит –
это вопрос. И
все это
называется
стадией
шореш.
Если
это так, то
здесь должно
быть
несколько
вещей.
Во-первых,
свет должен
создать что-то,
что захочет
им
наслаждаться.
То есть желание.
Он создает
желание. И
это
называется первой
стадией.
Почему это
называется
первой
стадией?
Необходимо
что-то, что
впервые бы
вышло из
света, из
Творца наружу.
Поэтому
мы говорим,
что шореш,
корень – это
сам Высший,
еще до
появления творения,
тогда оно
присутствует
лишь в Замысле
Творения, в
мысли. Но
первая
стадия – это само
творение.
Творение –
это желание, кли
– это желание
наслаждаться
тем светом, который
пришел от
Творца. И это
желание вышло
из света.
Творец
создал это
творение, это
желание. И у
этого
творения
есть
постоянное
желание. Как
свет
воздействует
постоянно,
так и это
желание
постоянно. И
невозможно
сказать, что
у него есть
еще что-то,
кроме этого.
Но оно
чувствует,
что
наслаждается.
И его первое
ощущение
должно быть
ощущением
наслаждения.

Рис.3.
После
того, как оно
почувствовало
наслаждение, оно
начинает
ощущать, что
есть еще
что-то. То
есть первое
ощущение –
это
наслаждение.
После этого
оно начинает
ощущать
источник наслаждения,
то есть
Творца,
Дающего. И
поскольку
оно познало,
что кроме
наслаждения,
есть
источник
наслаждения,
оно начинает
ощущать, что
это исходит
от Дающего. И
тогда оно
начинает
чувствовать
себя
отделенным от
света.
Ранее
свет и
желание были
вместе, и
между ними не
было никакой
разницы. Но
поскольку желание
начало
чувствовать,
что свет – это
нечто
отличное от
него, исходит
от кого-то,
что
существует
Замысел, что
существует
Хозяин, иное
владение, оно
начинает чувствовать
себя и свое
наполнение.
Поэтому
начинает
ощущать
себя
творением.

Рис.4.
И
когда
начинает
ощущать себя
творением,
начинает
сравнивать
себя с
Дающим, у
него
появляется
желание
уподобиться
Ему. Потому
что Дающий
стоит выше
него, Он совершенный,
полностью
независимый,
неограниченный
ни в чем, не
имеющий
никакого
недостатка.
Это не похоже
на то, когда я
прихожу и просто
чем-то
наслаждаюсь.
Существует
некто, кто
настолько
наслаждается,
что даже не знает,
что такое
иметь иногда
какой-либо недостаток,
потребность.
Но
казалось бы
после
ощущения
недостатка, ты
наслаждаешься
сильнее? Это
верно, если желание
является моим
собственным.
Но в первой
стадии у меня
нет
собственного
желания.
Поскольку
творение
создано
желанием
сверху,
поэтому,
когда оно
впервые
открывает,
что
существует
наполнение
независимое
от него,
что-то выше
него, конечно
же это
ощущается им,
как нечто высшее,
и оно хочет
стать
обладателем
этого, стать
подобным
этому.
Оно хочет стать подобным своему наполнению, подобным свету. То есть у него уже появляется желание. Это то же кли, то же желание, которое было ранее, но с намерением отдать. Так оно желает. Желание остается, это развитие продолжается, и когда кли хочет стать отдающим, как свет, это называется второй стадией. Но оно лишь хочет стать таким, пробуждаясь из своего желания. И тогда оно ощущает наслаждение быть Дающим. Это наслаждение называется ор хасадим – и это наслаждение от отдачи.

Рис.4.
Наслаждение
в первой
стадии – это
наслаждение
от получения,
это
наслаждение
светом хохма.
А тот свет,
который
находится в
корневой
стадии, это
не свет хохма
и не свет
хасадим, это
просто
абстрактный
свет. Названия
хохма или
хасадим
исходят со
стороны кли,
когда кли
раскрывает в
свете, от чего
точно оно
наслаждается,
каким
образом оно
наслаждается.
Оно
наслаждается
от того, что
желает
получать, и
тогда
получаемое наслаждение
называется
светом хохма,
или желая
отдавать, и
тогда
наслаждение,
которое получается
из того же
наполнения
называется
светом
хасадим. А
само
наполнение
или сам свет
абстрактен.
То есть вне
кли мы не можем
вести речь о
свете хохма
или хасадим.
Когда
у кли
появляется
намерение
отдавать, это
лишь
намерение. Но
есть ли у
него на самом
деле
возможность
отдавать
посредством
намерения?
Может ему
достаточно
только этого
намерения?
Нет, этого
недостаточно!
Что оно может
дать с
помощью
намерения?
Что значит
дать? Дать –
это значит
быть
причиной наслаждения
кого-то, у
кого есть в
этом потребность.
Так какое
наслаждение
оно может
дать Творцу?
Какое
желание есть
у Него? У
Творца есть
лишь одно
желание, одна
потребность –
отдавать. Но
как кли может
дать ему наслаждение?
И
тогда вторая
стадия
решает
получить, и
это
получение
происходит в
той ее части,
которая
находится
сзади. Она
размышляет
так – если Он
хочет, чтобы
я наслаждалась,
чтобы
получала от
Него, Он любит,
когда я
получаю, Он
любит, когда
я наслаждаюсь,
так я это
сделаю. И
тогда она
получает для
того, чтобы
принести тем
самым
наслаждение
Высшему. Эта
стадия
называется
третьей стадией.
И это уже
является
действием.

Рис.4.
Кли,
которое
прошло все
эти этапы,
получает для
того, чтобы
отдавать. И
когда оно
получает,
чтобы
отдавать, что
еще нужно?
Похоже на
ребенка,
который
берет все, что
мать ему дает
(хороший
ребенок) и
чувствует,
что мать от
этого
наслаждается.
У него это
получается
естественно.
Он на самом
деле
наслаждается,
но вместе с
тем знает,
что мать тоже
наслаждается.
Он пока не
работает
против
природы, он
тем самым не
становится
таким
большим, как
мать – он
просто хороший
ребенок.
Здесь пока не
говорится об
исправлениях,
которые
должно
пройти кли,
ребенок пока
просто
прилепился к
матери естественным
путем. Он
действует,
как ребенок,
а мать,
действует,
как мать. И
все доставляют
друг другу
наслаждение.
Это
все еще
естественное
состояние,
которое
тянется
напрямую от
Творца. И
здесь нет пока
ничего ни от
получения, ни
от отдачи,
когда кли
можно было бы
считать
самостоятельным.
Кли пока что
не подобно
Творцу.
Ребенок
остается
ребенком,
мать – матерью.
Желание
ребенка
наслаждаться
исходит от
матери, или
от Творца –
творению, желание
дать в ответ
так же
исходит от
Творца. Кли
или ребенок в
третьей
стадии
выполняет
точно то, что
к нему приходит
сверху, и
реагирует
автоматически,
не имея
возможности
реагировать
иначе.
Но
здесь
появляется
уже некое
соединение между
Творцом и
творением,
как в
действии, так
и в
намерении. И
поскольку
они уже
соединены
вместе, хотя
и нет
какого-то
подобия, каждый
хочет
доставить
хорошее
другому.
Поэтому у
ребенка
начинает
появляться
ощущение: «А
что мать
испытывает
от него?». Он
начинает
понимать, что
получает,
чтобы она
наслаждалась,
а она дает
ему, и
испытывает
от этого
наслаждение,
и это
наслаждение
гораздо большее,
чем его
наслаждение.
Почему?
Потому что его желание, его наслаждение, его намерение – это не его. А наслаждение от отдачи и от того, что кто-то получает то, что имеется у матери или у Творца – это Его наслаждение, которого Он сам желал. Он это сам изобрел и сам построил. И поэтому невозможно сравнить наслаждение от отдачи, которое есть у Творца по сравнению с наслаждением творения. И по мере того, как творение уподобляет себя Творцу, оно желает то наслаждение, которое раскрывается в положении Творца, и хочет наслаждаться этим. Почему?
Потому
что, то, что им
движет, то,
что определяет
его действия,
является тем
же самым желанием
получать
первое
наслаждение.
Оно заложено
в основе
творения. А
все прочее –
это лишь
дополнения.

Рис.5.
И
поэтому
теперь
творение
желает
наслаждаться
(это
называется
четвертой
стадией) всем,
что есть у
Творца – от
статуса
Творца, Его
внутренним,
чтобы свет
дал ему и
наполнил
всем, что
есть у Него
самого. И
теперь
желание, которое
у него есть –
это желание
быть как Творец
и
наслаждаться
всем, что
есть в
Творце. Но
это
наслаждение
не только от
отдачи, это желание
насладиться
самим
Творцом, Его
статусом. Нам
сложно
выразить все
эти вещи.
Лишь позже
это
становится
нам все более
и более
понятно.
И
это желание
на самом деле
особенное,
потому что
это желание
новое,
которого не
было ранее.
Творец не мог
напрямую
внедрить в
творение
желание
насладиться
именно Его
статусом.
Потому что
сначала надо
понять, что такое
статус
Творца. И это
желание на
самом деле
новое. И это
желание
равно той
ступени, на
которой
находится
Творец.
Творение хочет
быть на
ступени
Творца, и
насладиться
ею.
Поэтому тот свет, который создал первую стадию и наполнил ее, ощущался ею лишь совсем в незначительной степени, потому что это не было ее самостоятельным желанием. Это можно сравнить с тем, когда человеку что-то дают, он не знает, что это, но берет, думая, что может быть это хорошо. Во второй стадии есть немного большее желание. И хотя это желание стать как Творец, но желание стать как Творец – это более сильное желание, чем желание первой стадии. Это уже более развитое желание.
Желание
в третьей
стадии – это
желание получить,
чтобы отдать.
Это еще
большее
желание, а
желание
четвертой
стадии – это
очень большое
желание. И
это желание
насладиться
всем
положением
Творца. Это
желание
самостоятельное.
Эти
стадии,
начиная с
нулевой,
которая
является
Творцом,
первая,
вторая,
третья и
четвертая,
которые
являются
развитием
творения –
это стадии,
которые еще
называются юд-кей-вав-кей,
АВАЯ, имя
Творца.

Рис.6.
Первая
стадия – это юд,
вторая – это кей
(мы так пишем,
потому не
принято
писать это имя),
вав – это
третья
стадия, и кей
последняя –
это
четвертая
стадия.
И они
развиваются
из Творца,
который
обозначается,
куцо
(кончик)
буквы юд.
Здесь есть
какой-то
кончик буквы,
который
указывает на
начало. Но
почему есть
какой-то
кончик, если
это свет,
ведь свет мы
не
изображаем
никаким
образом?
Потому что
внутри света
уже заложена
мысль о будущем
творении,
есть связь с
будущим
творением.
Поэтому-то
там и есть
какой-то
знак, иначе
мы не смогли
бы даже
каким-то
образом это
отметить. Так
Творец – это куцо
шель юд
(кончик буквы
юд).

Рис.7.
Поэтому
имя АВАЯ
может быть обозначено
либо буквой хей,
где хей
(пять) – это
пять стадий (от
нулевой до
четвертой), пять
частей. Либо
как юд-кей-вав-кей,
состоящего
из куцо шель
юд, которое
как правило
не
обозначается,
потому что нет
такого слова,
или такой
буквы, и букв юд,
кей, вав, кей. И
тогда юд-кей-вав-кей
– это имя
Творца. Имя
Творца – это
кли, которое
создано
Творцом, и
оно обладает
самым
большим
желанием
получать. Это
желание
хочет
насладиться
всем, что
есть у
Творца. Это
желание,
стать
подобным
свету.
Но
почему мы
говорим, что
это кли – это
Творец,
Высшая сила,
поклоняемся
Ему, молимся
Ему? Каждый
может это
увидеть в
молитвенниках
и разных
святых
книгах.
Почему это так,
ведь это
всего-навсего
кли,
творение? Это
происходит
потому, что
Творца мы
можем раскрыть
только в
келим, только
внутри своих
исправленных
желаний.
Человек
имеет 613
желаний, или
иначе это мы
называем юд-кей-вав-кей.
Впоследствии
мы будем
изучать, как
эти четыре
стадии
распространения
прямого света
делятся на 613. И
если человек
знает, как
наполнить
правильно
свои 613
желаний,
через эти желания
он познает
свет, Творца,
Высшую силу.
Он
объединяется
с ней, начинает
видеть, что
она из себя
представляет,
как Он дает,
как любит,
как я даю, как
я люблю Его,
как мы
объединяемся.
Поэтому
внутри человека,
внутри его
заполненных
желаний, когда
в них
находится
Творец,
Высшая сила,
свет – в этих
исправленных
желаниях мы открываем
Высшую силу.
И не может
быть иначе.

Рис.7.
Невозможно
появление
Творца нигде,
кроме как в
наших
исправленных
желаниях. И
поэтому
исправленные
желания
творения мы
называем Шем
аШем (именем
Творца).
Имеется в
виду само имя
Творца – юд-кей-вав-кей.
Юд – это 10, хей
– это 5, вав – это
6, и еще хей –
это 5. А все
вместе это 26 – хав-вав.
Таким
образом есть хав-вав
и его
наполнение.
Наполнение
означает сколько
света вошло в
это хав-вав, в
это кли. И
тогда вместе
свет и кли
называются Шем
(Имя).

Рис.8.
Но почему свет и кли должны быть вместе? Потому что исправленное кли обладает той же природой дающего, что и свет. И поэтому они соединяются вместе. Исправленное кли – это 26, с наполнением, которое в нем раскрывается, со светом, с Творцом, который в нем раскрывается. Объединение Творца и творения называется: имя человека. Поэтому и существует обычай, когда у человека появляются какие-то проблемы, ему добавляют или меняют имя. Изменяющий место, изменяет имя. Изменяющий место, изменяет судьбу. Это исходит из того, что работа, совершаемая человеком изменяет его кли, каждый раз изменяется наполнение его кли, и поэтому изменяется его имя.
А
все это
исходит из
развития кли
из света, оно
проходит
четыре
стадии
развития – юд-кей-вав-кей,
достигая
совершенного
кли. Таково
совершенное
кли, которое
хочет
наслаждаться
всем, что
есть в свете...
Подобно тому,
как я сижу за
столом, на
котором
стоят разные
яства, желая
всем этим
насладиться.
И кроме того
присутствует
Хозяин,
который
говорит, что
все это
приготовил
для меня,
готов мне прислуживать,
и очень ждал
меня, зная,
что именно я
люблю, и что
Он весь в
моем
распоряжении.
То есть у Него
нет ничего
иного – все
только ради
меня. И Он сам
и все, что Он
сделал – все
это
принадлежит
мне. И у Него
нет ничего,
что бы Он
хотел для
себя. Это то,
что я сейчас
обнаружил и
этим я хочу
наслаждаться.
Это называется
желанием
наслаждаться
четвертой
стадии – это
желание
наслаждаться
Творцом, как
наслаждениями,
исходящими
от Него, так и
Им Самим.
Это
состояние
настолько
неограниченно,
что
называется Малхут
де-Эйн Соф,
Малхут мира
Бесконечности.
Приставка де
означает
принадлежность
к чему-то, она
досталась
нам из
арамита. Это
означает, что
это желание
властвует,
малхут от
слова власть,
и оно
властвует
над всем
совершенно
неограниченно.
Поэтому и
называется
Бесконечность.
А Бесконечность
– это значит
без границ.
Но это не
какие-то
расстояния,
или какие-то
временные
понятия,
понятия
движения или
места. В
духовном
вообще нет
времени, нет
движения, нет
места.
Духовное –
это только
сила – сила
желания
отдать, сила
желания получить
наслаждение,
сила мысли, и
все.
Поэтому
состояние
четвертой
стадии, которая
хочет
завладеть
всем светом,
захватить
его весь,
называется
Малхут мира
Бесконечности,
то есть это
Малхут без
ограничений.
И именно это
называется
творением. А
все, что
происходило
до него на
первой,
второй и третьей
стадиях – это
все процесс
развития
творения. И
поэтому все
эти части в
развитии
творения до
четвертой
стадии,
начиная от Замысла
Творения,
сверху вниз,
называются стадиями
Творца. Это
свет, Творец,
который постоянно
только
отдает, и
отдает
творению в
его желание
наслаждаться
в первой
стадии,
которую
создал, и
наполняет
его, снабжая разными
понятиями. А
когда
передал ему
все разнообразные
понятия,
категории,
вложил в него
все, что
хотел,
появляется
творение, то
есть
четвертая
стадия.

Рис.9.
Все
предшествующие
стадии – шореш,
алеф, бет,
гимель –
называются
стадиями
Творца.
Иногда мы их считаем
без нулевой
стадии,
поскольку
это еще не
стадия, мы
еще ничего не
можем различить
от света в
нулевой
стадии. Мы
различаем это
только
внутри кли. А
кли
появляется
только на
первой
стадии.
Четвертую
стадию мы
называем
стадией творения.
Рисунок
получился
немного
перенасыщенным,
но если вы
вновь и вновь
повторите то,
о чем мы
говорили,
поймете, что
ничего не поделаешь...
Я бы и еще
дополнил. Но
вынужден
начать новый
рисунок.
Кроме
юд-кей-вав-кей
в нашей
реальности
нет ничего.
Мы пришли к состоянию,
когда видим,
как создано
самостоятельное
кли. И это
самое важное.
Пока что это
кли не
сделало
ничего
самостоятельного.
Но с этого
момента и
далее оно начнет
действовать
как
самостоятельное.
И это мы
будем
изучать.
Сейчас мы
изучали, как
из света, в
котором
вообще
ничего нет,
из желания
дать
возникло
желание
получать
наслаждения,
которое
хочет все
поглотить.
Это желание ощущает себя самостоятельным. Оно желает властвовать, поэтому называется малхут, оно хочет получать и наслаждаться тем, что находится в самом наслаждении, приходящем от Хозяина, от Творца, а так же и от прислуживания Хозяина, от Его любви, от отношения Хозяина. Это желание безграничное, то есть желает наслаждаться не частично, лишь какими-то наслаждениями, а какими-то – нет, желая здесь быть подобным Хозяину, и отдавая Ему в ответ. Это желание без границ, и все, что оно раскрывает в Хозяине – как наслаждения, так и Его статус – желает поглотить. Это неограниченное самостоятельное желание – поэтому оно называется творением.
С этого момента начиная разговор о творении, мы начнем раскрывать, как это творение, которое состоит из юд-кей-вав-кей частей, желаний, проглатывает все, что желает ему дать Творец. И на самом деле Творец желает, чтобы оно насладилось всем. Но как творение достигает этого состояния?
Я
хочу
добавить, что
каждая
стадия
включает в
себя все
предыдущие
стадии.
Откуда исходит первая стадия? Она исходит из того, что в распространяющемся свете есть кончик буквы юд. Получается, что в свете присутствует некое начало, мысль о будущем творении. Будущее творение получит свое развитие из кончика буквы юд. Затем появляется творение, это первое кли, желание, и оно является дополнением этого кончика буквы юд, этой мысли.
Далее
у первого кли
появляется
дополнение –
это уже
стадия бет. И
стадия бет,
кроме того,
что внутри
себя желает
получать,
сейчас на
основе
желания
получать, уже
получая, обнаруживает,
что хочет еще
и отдавать по
мере получения.
То есть
вторая
стадия не
отменяет
первую
стадию. Она
является
дополнением первой
стадии. Это
дальнейшее
развитие кли.
И это похоже
на то, как мы
растем и
развиваемся.
И хотя я
сейчас могу
отрицать то,
что хотел
ранее, и
думаю: «Как я
мог вообще такое
хотеть или
делать?», и
может быть я
раскаиваюсь
в этом и не
хочу этого.
Но я раскаиваюсь
и не хочу
этого потому,
что прошел
это, и это
присутствует
во мне, оно не
исчезло. И хотя
сегодня из
своего
настоящего
состояния я
могу сказать,
что это было
не хорошо, но
это осталось
во мне. А если
бы этого не
было ранее, я
не получил бы
уверенность
в том, что это
плохо.
Поэтому
не может
быть, что
отдающее кли
во второй
стадии,
несмотря на
то, что
противоположно
получающему
кли в первой
стадии, отвергает
первую
стадию,
просто оно
находится
над первой стадией,
оно растет
над ней.
Теперь
поговорим о
кли третьей
стадии. Что значит,
оно хочет
получать,
чтобы
отдавать? Оно
включает в
себя две
первые
стадии. Третья
стадия – это
первая
стадия плюс
вторая. То
есть две
предыдущие
стадии – это
то, что у нас
есть в третьей
стадии. Две
предыдущие
стадии не исчезли,
а находятся
внутри
третьей
стадии – дают
ей жизнь,
поддерживают
ее, потому
что если
что-то
исчезнет, все
развалится.
Как
я могу сейчас
вдруг
раскаиваться
в чем-то? Я
помню, что я
из себя
представляю
сейчас,
помню, кем
был когда-то,
и, сравнивая
одно с
другим, думаю
«что же я
наделал?». Но я
все-таки
сравниваю
эти два
состояния,
они оба присутствуют
в настоящем,
и я имею
возможность их
сравнивать.
То же касается и кли в третьей стадии, и даже когда оно приходит к четвертой стадии, желая насладиться от всего. А от чего это всего? Четвертая стадия – это всего-навсего развитие всех предыдущих стадий. В первой стадии было небольшое желание, которое не ощущало наслаждения, которое к нему пришло, потому что не было предшествующего ему желания. (Как это бывает, когда человек голоден, а потом насыщаясь, наслаждается). И оно не хотело отдавать, не подозревая о существовании Творца, и о том, насколько Он наслаждается. Поэтому оно не хотело получать наслаждения и статус Творца. То есть все предшествующие стадии присутствуют в четвертой стадии.
Поэтому
мы говорим,
что каждая
стадия включает
в себя все
предыдущие
стадии. И
главная из
них – это
четвертая
стадия,
которая включает
в себя все
предыдущие.
Поэтому мы
можем
поделить
четвертую
стадию на
пять частей –
нулевую,
первую,
вторую,
третью и
четвертую.
Потому что
они всегда в
ней
присутствуют.
Иначе она
сама бы не
существовала,
не достигла
бы состояния,
когда хочет
все получить.

Рис.10.
Полное
имя
четвертой
стадии – это юд-кей-вав-кей.
И поэтому мы
молимся об
этом
состоянии, просим,
чтобы оттуда
пришли к нам
силы, исправления.
Потому что
это
состояние
самое наивысшее.
Далее мы
будем
изучать, что
вся
реальность –
миры, души –
все является
частями
четвертой
стадии.
Четвертая
стадия
приводит
себя к состоянию,
подобному
состоянию в
Замысле
Творения,
когда
предполагалось
появление
творения. И
теперь в
конце концов
у нас есть
самостоятельное
творение. Но
оно все еще
не подобно
Творцу, ведь
оно желает
получать
наслаждение –
немедленно и
даром.
На
последующих
уроках мы
увидим, как
это претворяется
в жизнь, и
почему мы не
находимся в
состоянии,
когда это не
случается
немедленно и
даром. Почему
мы не ощущаем
себя
находящимися
в мире вечном
и
совершенном.
Что с нами
происходит?
Но как бы то
ни было, та же
Малхут мира Бесконечности,
о которой мы
сегодня
говорили –
это по сути
то творение,
в котором все
и происходит.
Внутри
Малхут мира
Бесконечности
находится
весь свет и
все присутствие
Творца – как
Его свойство
отдавать, так
и само
качество
отдавать. А
то, что происходит
во всей
реальности –
это то, что
происходит с
четвертой
стадией. И
кроме этого больше
ничего нет.
Поэтому
Бааль Сулам
говорит, что
все творение
– это желание
наслаждаться.
И он имел
ввиду то
желание,
которое находится
в четвертой
стадии. Это
желание насладиться
Творцом.
Об этом желании наслаждаться, которое является всей материей творения, мы и говорим. И все, что происходит, происходит в том же самом материале, в нем все и раскрывается – миры, как части четвертой стадии, души, как части четвертой стадии, их взаимоотношения – это силы, которые действуют в четвертой стадии. Духи, черти, образы, ангелы – все, что бы вы ни взяли, все это находится в четвертой стадии. А что касается этого мира? Все находится внутри нее. А после того, как мы изучим всю эту материю, мы начинаем ее изменять, то есть приводить к уровню подобия Творцу. И все зависит от нас. Изучая, как это сделать, мы изучаем науку Каббала.
А
когда мы
приводим всю
эту
реальность –
все миры, все
души к
уровню,
подобному
стадии шореш,
подобию
Творцу – это
значит мы
выполняем
исправления
этой материи,
613 ее желаний. Это
называется
выполнением
613 заповедей.
Свет, который
наполняет
нас на самом
высоком
уровне,
называется
светом Торы.
А в Торе есть
дающий Тору –
Творец,
который дает
свет со всеми
наслаждениями,
которые
называются таамей
(вкусы) Торы.
Перевод Рут
Готлиб.
Оформление
рисунков Александр
Раин.