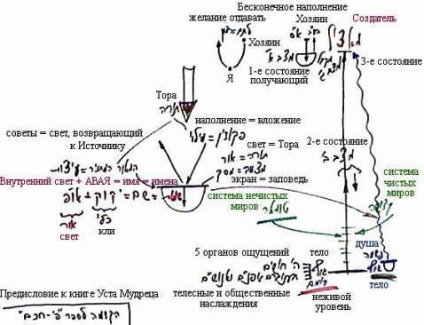
Предисловие к книге "Уста мудрого", урок 2 – рис. 5

16/11/2004: