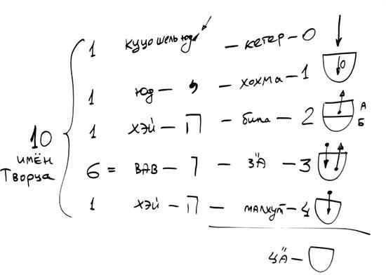
Введение в науку Каббала, урок 7 – рис. 1

21/10/2003: