После всего, что мы делали в группе, после всевозможных собраний, мероприятий и совместных действий, после того как, сидя вместе с товарищами, мы говорили о величии Цели, о величии Творца, о нашем единении в одно кли, в одно сердце, в общую душу Адам Ришон – после этого мы приходим на урок. И мы хотим получить окружающий свет с той ступени, на которой пребываем в своем корне.
А потому мы обязаны представлять себе наше состояние так, словно уже находимся там. Мы обязаны пребывать в совершенстве, не примешивая к ощущению во время урока ничего отрицательного. Посторонних мыслей, помех, различных забот и проблем нет. Все они остались в этом мире, а я сейчас поднимаюсь из этого мира к ощущению своего корня в мире Ацилут.
И тогда я включаюсь туда, где всё кончается хорошо, где всё пребывает в совершенстве. Сколько бы проблем ни представлялось в моем восприятии, я словно бы игнорирую их. Это нереально, не по-настоящему, нехорошо, неправильно, но если я действительно буду ощущать себя не на территории этого мира без экрана, а с экраном на духовной ступени – тогда я почувствую, что проблем нет, что есть лишь Высший свет, наполняющий реальность, наполняющий меня. А потому во время урока нет ничего кроме АХАПа Высшего. В нем я нахожусь, и там я хочу остаться.
Света идут не сверху вниз, как мы обычно говорим и описываем на нашем человеческом языке. Насколько мы хотим находиться в духовном, настолько мы, так сказать, и находимся там. Пускай неявно, но желание наше уже действует, и согласно этой мере мы пребываем уже на той ступени, которая воздействует на нас, давая нам свет. Свет не спускается и не поднимается, он не движется, однако чем больше мы хотим подняться к нему навстречу, тем сильнее он на нас воздействует, и тогда мы действительно поднимаемся к нему.
Поэтому на уроке – никаких тревог, проблем и поисков решений, даже в связи с нами самими, с нашей работой. Преуспеваем ли мы в духовном продвижении, или не очень – это неважно. Сейчас я включен в Высшего.
* * *
В продолжение всех наших уроков, мы будем изучать сегодня строение системы Высшего управления и провидения. Мы уже говорили об этом и сейчас продолжим. Я вкратце повторю материал сначала, так как вижу здесь много людей, приехавших в первый раз.
Мы говорим, что Творец хочет принести благо творению. Что это значит? Это значит: привести творение на Свой уровень. Ведь если я хочу нести благо, то не могу давать нечто, что меньше моей ступени, которая совершенна. Не может быть отдачи, если она не стопроцентная. Или сто процентов, или ничего.
Творец хочет насладить творение, которое Он создал из Своего желания творить добро. Нести благо Он хотел изначально, еще до акта создания, и потому создал творение. Таким образом, конец действия уже кроется в первоначальном замысле, и создание человека проистекает из желания нести благо Его творениям.
Нам кажется, что Творец создал нас со всевозможными пороками. И действительно, Он сотворил желание наслаждаться, однако сотворил его из желания творить добро Своим созданиям. А потому в желании наслаждаться нет никакой неполноценности, никакого изъяна. Наоборот, оно необходимо, чтобы в нем реализовалось это состояние: «творить добро Его созданиям». Иными словами, именно внутри желания наслаждаться творение обязано получить свой уровень подобия Творцу.
Даже если бы желание наслаждаться не было изначально создано подобным образом, все равно мысль о принесении блага Его созданиям, действует и утверждает всё именно так. Лишь по причине необходимости в достижении ступени Творца желание наслаждаться создано как будто бы порочным, являясь противоположностью Ему.
Итак, существует такая мысль и такая программа. Конец действия в изначальном замысле. Теперь давайте представим себе весь тот процесс, который мы проходим с начала творения и до его конца. Мы уже говорили об этом, и я лишь сделаю краткий повтор.
Творец создал желание наслаждаться в четыре этапа, потому что за один этап невозможно создать желание получать, обладающее самоощущением. Исходя из Своего уровня, из корня, Творец создал первый уровень. Желание Творца отдавать реализовывается в творении, в его желании получать.
Затем, наслаждаясь и наполняясь светом, желание получать начинает внутри света ощущать кроме самого наслаждения также и Дающего наслаждение – т.е. природу Творца. Отсюда возникает вторая стадия. Таким образом, из Творца выходят как бы два вида воздействия:
– воздействие, которое называется наслаждением;
– и внутреннее воздействие, которое называется природой Самого Творца.
Затем в творении они разделяются на два света: свет хохма и свет хасадим. Большая стрелка на рисунке – это наслаждение (1), а маленькая – это природа Творца (2).
Когда творение начинает ощущать природу Творца, оно становится подобным Ему – возникает желание отдавать.
Затем внутри творения два этих желания соединяются друг с другом. В Творце, в корне оба они сосуществуют, а затем разделяются на два (первая и вторая стадии). В третьей же стадии часть творения состоит из желания получать, а другая часть – из желания отдавать. Таким образом, на третьем этапе структура творения в точности соответствует воздействию Творца, она такая же, как и в корневой стадии.
В чем же смысл от всего этого процесса? После того как творение на третьем этапе ощутило то, что присутствует в корне, у него появляется желание наслаждаться корневой стадией; его материал хочет насладиться всем тем, что имеется в корне.
Тогда (см. четвертую стадию на рисунке) оно начинает получать удовольствие от наслаждения (1), даваемого Творцом, и опять-таки ощущает внутри наслаждения свойство Творца (2), которое, по сути, портит ему всё удовольствие, поскольку творение начинает ощущать свою природу в сравнении с природой Творца.
Позже это приводит его к действию, которое называется «Первым Сокращением» (Цимцум алеф).
Творение сокращает себя и говорит: «Я никогда ничего не приму в свое желание получать с намерением ради наслаждения». И тогда оно остается пустым. Этим оно, разумеется, не наполняет наслаждением ни себя, ни Творца; и они как бы разъединены: ни Творец – ему, ни оно – Творцу. Между ними возникает замыкание, разрыв.
На четвертом этапе Малхут была наполнена всем благом и наслаждением, и состояние это называется «миром Бесконечности» (олам Эйн Соф). Состояние же после сокращения и опустошения называется «миром Сокращения».
Теперь творение отъединено от Творца. Однако при этом оно ничего не может сделать. Получать (как то предписывает ему Творец сообразно с его желанием наслаждаться) оно неспособно; отдавать Творцу оно не может – а если и отдаст, ему нечего получить.
Таким образом, творение находится на развилке и не имеет возможности воспользоваться своей природой, пока не приходит к внутреннему развитию и не понимает следующего: если оно может получить в свое кли при помощи экрана (масах) лишь ту часть, которая совпадет с намерением насладиться ради наслаждения Творца, тогда эту часть оно готово принять внутрь.
Приходит свет (1 на рис. 5), называющийся «прямым светом» (ор яшар), творение не соглашается принять его, производит действие по сокращению, а затем активизирует намерение: «Я готово принять свет, если это будет ради отдачи». Оно проверяет, до какой степени способно выстоять против прямых соблазнов лишь затем, чтобы насладить Творца.
Таким образом, оно как бы поднимает свое желание к Творцу, там помещая свое кли и туда переводя свои ненаполненные желания, потребности.
Теперь забота его – о Нем, о Творце. И на этом условии оно начинает наслаждаться: оно готово испытать наслаждение в своей части, если благодаря этому ощутит наслаждение Творец. Только на таком условии творение наполняет себя.
Приходит прямой свет, творение поднимает отраженный свет (ор хозер), и только часть прямого света высотою с отраженный оно получает внутрь. Это называется «внутренним светом» (ор пними). А та часть его желания наслаждаться, которую творение не может наполнить, остается пустой. Что поделаешь, если на нее нет достаточного намерения?
Почему же у творения нет достаточного намерения? Потому что в нем имеется часть, которая называется: «четвертая стадия четвертой стадии» (д алет дэ-д алет), Малхут внутри Малхут (Малхут дэ-Малхут). Это порождение черной точки, которой нет в Творце. И творение не может само себя исправить, а потому оно делает сокращение и не получает сюда ничего.
Таким образом, внизу (см. нижнюю часть рис. 7) продолжает действовать Первое Сокращение, а выше имеется то, что называется «внутренностью» (тох) парцуфа.
Откуда берется внутренность парцуфа? Малхут совершает получение после четырех стадий распространения прямого света: корневой, первой, второй и третьей. Это – четвертая стадия, включающая в себя все предыдущие сфирот. Она получает от них, ощущая их и в наслаждении, и в воздействии со стороны их природы, а потому состоит из них.
Выходит, что Малхут работает с девятью первыми сфирот (тет ришонот). Она получает в них, дабы насладить Творца, и сокращает себя, чтобы не наслаждаться, поскольку в этой части она не может исправить свое наслаждение намерением экрана ради отдачи.
Таким образом, творение получает от Творца наслаждение, но не в свою природу, не туда, где находится оно само.
Есть девять первых сфирот, и есть Малхут, желание наслаждаться, которое взаимовключается в них. Включившись во все девять первых сфирот, подняв себя к ним, там оно может получать ради отдачи – над своей природой, но не внутрь себя.
Вот, что решает сделать творение после того как оно сократило себя. И тогда оно выстраивает систему, которая определяет, как оно будет вести получение в соответствии с уровнем своего экрана.
Всего в творении имеется пять уровней авиюта (глубины желания): корневой, первый, второй, третий и четвертый. Однако их может быть и меньше вплоть до одного лишь корневого уровня. Это согласуется с мощью экрана, поставленного на данный уровень авиюта.
Авиют на всех этих этапах одинаковый, однако мы его не применяем. Авиютом, который не включен в экран, мы не пользуемся. Это область сокращения, окончание (соф) ступени.
А ту часть, в которой есть экран, мы используем. Там мы можем получать ради отдачи. На максимальный уровень экрана рождается парцуф Гальгальта, а с уменьшением экрана появляются соответственно парцуфы: АБ, САГ, МА, и БОН (Рис. 12).
Итак, возникают пять парцуфим. Что это значит? Это значит, что весь Высший свет, приходящий от Творца к творению, делится на пять уровней в соответствии с пятью степенями авиюта в экране творения. Таким образом, здесь создается новая особая система, распределяющая Высший свет в соответствии с мощью экрана, которым будут обладать творения.
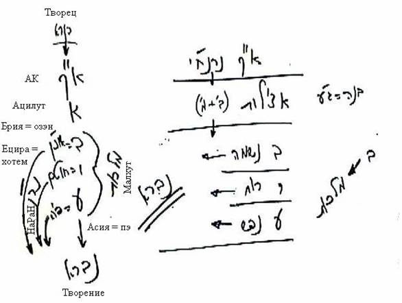
От Творца идет свет Бесконечности. (см. Рис. 13) Затем он проходит сокращение, а затем попадает в систему, которая пересылает дальше пять светов: нефеш, руах, нешама, хая и йехида (НаРаНХаЙ) согласно тому, в каком состоянии пребывает внизу творение. Итак, речь идет о системе ослабления светов в соответствии с тем, до какой степени будущее творение внизу сможет их выносить. И система эта называется миром Адам Кадмон.
Что это дает? Тем самым был сформирован механизм введения Малхут Бесконечности в девять первых сфирот. (Рис. 14) Малхут включилась в них и получила от них свойства и экраны согласно уровням собственного авиюта: четвертому, третьему, второму, первому и корневому.
Теперь появилась система, которая действует по отношению к Малхут.
Однако сама Малхут сокращена. Иными словами, была выстроена лишь система девяти первых сфирот. Под общим табуром находится окончание парцуфа или Малхут, о которой мы и говорили, Малхут мира Бесконечности, являющаяся как бы окончанием парцуфа Гальгальта.
Тем самым девять первых сфирот были упорядочены так, чтобы они соответствовали творению, Малхут. Однако сама она пока что неспособна получать ничего. Ведь ее лишь включили в целом в девять первых сфирот, но с ней как таковой еще ничего не было сделано, Малхут не в состоянии ничего получить. А ведь она и является творением, в то время как девять первых сфирот – это, в общем счете, воздействие Творца.
Выстроив систему мира Адам Кадмон, Высший свет тем самым сформировал для нас систему девяти первых сфирот относительно Малхут. Творец распределил свое воздействие относительно творения. Теперь же необходимо сделать обратное. Нужно девять первых сфирот внести, внедрить в Малхут, чтобы в ней наличествовали свойства Творца. Если возникнет определенное взаимосочетание между Малхут и девятью первыми сфирот, тогда Малхут сможет с их помощью приступить к исправлению себя. И для этого уже имеется наверху система, которая даст ей света в соответствии с тем, насколько она будет способна себя исправить.
А значит, теперь нужно силой внести девять первых сфирот внутрь Малхут. (рис. 16) Почему силой? Иначе невозможно. Ведь девять первых сфирот – это целиком отдача, а Малхут – это целиком получение. Между ними – непреодолимое расстояние. Малхут не хочет, неспособна воспринять в себя свойства Творца. Максимум на что она способна, это отстранить себя от получения света, поскольку испытывает стыд, ощущая, насколько она отличается от девяти первых сфирот.
Как же исправить Малхут? Как внести в нее свойства девяти первых сфирот? Это происходит посредством спуска светов Бины под табур мира Адам Кадмон.
Вся Малхут упорядочена в девяти первых сфирот и в самой себе. В девяти первых сфирот есть внутренний свет. Парцуф Гальгальта наверху – это Кетер, парцуф АБ – это Хохма, а парцуф САГ – Бина. Ни Гальгальта со светом йехида, ни АБ со светом хая, ни таамим дэ-САГ со светом хохма не способны опуститься вниз к Малхут, в окончание Гальгальты. Только некудот дэ-САГ, т.е. утончившийся парцуф САГ, в котором имеется лишь свойство чистой Бины, лишь свет хасадим, может передать вниз для Малхут света хасадим. И Малхут в силах их принять, это ей не мешает.
Света хасадим спускаются вниз и наполняют Малхут. Она испытывает реакцию, наполняется светом хасадим и в ответ отдает этому парцуфу Бины свое желание – «четвертую стадию четвертой стадии», далет дэ-далет.
Вследствие этого парцуф Бина разделяется надвое.
Бина всегда разделена пополам. Как мы с вами проходили, из корня в четырех стадиях распространения прямого света спускается свет и выстраивает первую стадию, желание получать. Затем внутри этого желания формируется вторая стадия, желание отдавать, которое задумывается: «Что же я могу отдать? Ведь для того чтобы отдавать, я должна приступить к получению. Творец хочет, чтобы я получала, а потому я смогу доставить Ему наслаждение только при условии, что буду получать».
И тогда в конце второй стадии возникает желание получать, хотя сама вторая стадия представляет собою желание отдачи. (рис. 18) Таким образом, вторая стадия состоит из двух желаний:
– из желания отдавать, являющегося природой самой Бины;
– и из желания получать, представляющего собой семь ее нижних сфирот (ЗАТ), ее АХАП.
Итак, Бина выстроена из двух частей: Гальгальты вэ-Эйнаим и АХАПа. Причем Гальгальта вэ-Эйнаим – это сущность Бины, а АХАП призван обслуживать низших.
У женщины есть часть, которая заботится о ребенке: о зародыше, а затем о новорожденном – механизм рождения, вскармливания, и т.д. Так же и в Высшем парцуфе всегда есть часть под названием АХАП, которая заботится о низшем парцуфе в соответствии с потребностью низшего. Самому Высшему парцуфу этого не требуется, сущность его – это три верхние сфирот (ГАР) или Гальгальта вэ-Эйнаим, в то время как его АХАП или семь нижних сфирот – это часть, относящаяся к обслуживанию низшего.
Таким образом, Бина спускается к Малхут (рис. 19) и желает придать ей свои качества. Как мы уже говорили, сначала Малхут поднялась в Бину и сообщила свои качества девяти первым сфирот. А теперь девять первых сфирот спускаются в Малхут, Бина спускается в Малхут. Из Бины, из парцуфа САГ света спускаются к Малхут, и вследствие этого Бина сокращается.
Однако это уже не Бина – это совместный парцуф Малхут (АХАП) и Бины (Гальгальта вэ-Эйнаим); а разделяет их парса. Поскольку Малхут не может получать света, она сокращена. Иными словами, этот парцуф сократился: Малхут поднялась к Бине, и функционирует теперь лишь Гальгальта вэ-Эйнаим, а АХАПом пользоваться запрещено.
Здесь уже возникает нечто новое. (рис. 20) Та же Малхут Бесконечности, которая выстроила перед собою систему мира Адам Кадмон, а сама пребывала внизу без всяких изменений – теперь претерпела изменение. Она выстроила внутри себя парцуф, одна часть которого – это Гальгальта вэ-Эйнаим, свойства Бины, а другая часть – АХАП, свойства Малхут.
Однако части эти все еще разделены, и различие меж ними бесконечно. Сосуды отдачи и сосуды получения, природа Творца и природа творения – они не перемешиваются между собой.
Что же делать? Смешения еще нет. Бина вошла в Малхут, Малхут сократила Бину, они существуют вместе, но не перемешиваясь друг с другом. Малхут все еще не может воспринять внутри себя свойства Бины: я чувствую Творца, я даже могу немного представить себе, Кто Он, но я не состою из Него, из Его свойств. И потому я пока что лишен всякой возможности исправиться.
Как быть?
Необходимо перемешать все части Бины со всеми частями Малхут до потери всякого различия меж ними. И происходит это посредством того, что называется разбиением сосудов (швират а-келим).
Разбиение сосудов – это процесс, который мы обязаны пройти еще до того, как попадем в разряд творений. Иначе мы не называемся творениями. Творение – это тот, кто ощущает Творца и может пребывать в связи с Ним. Под связью подразумевается обмен данными, состояниями, чувствами и действиями. Нет творения без Творца, и нет Творца без творения. Невозможно дать кому-либо имя, если напротив нет еще кого-то, называющего его этим именем. А потому на данных этапах мы пока что говорим не о творении, а о подготовке грядущего творения.
Итак, далее возникает система под названием мир Некудим, в которой и происходит разбиение. Вначале создается маленький парцуф – лишь там, где можно действовать, исключительно в части Бины. Это называется малым состоянием (катнут) мира Некудим. А затем появляется парцуф большого состояния (гадлут) мира Некудим, когда система решает, что кроме Гальгальты вэ-Эйнаим можно присоединить к себе также и АХАП, чтобы вести получение ради отдачи во всем этом парцуфе: и в Гальгальте вэ-Эйнаим, и в АХАПе.
Однако это не удалось, и произошло разбиение.
Внизу действовала сила сокращения, поскольку Малхут поднялась в место Бины. Действие это называется Вторым Сокращением (Цимцум бет): в совместном парцуфе Бины и Малхут часть Малхут внизу не подлежит использованию.
В большом состоянии была начата работа по использованию также и сосудов получения. Тогда обнаружилось, что у них нет экрана, и весь парцуф разбился.
При этом Бина и Малхут перемешались между собой. Все части всех сфирот парцуфа во всех своих деталях смешались так, что невозможно выделить чистую Бину или Малхут даже в самой малой крупице разбитых сосудов. И в малейшем сосуде Бина с Малхут будут присутствовать вместе, неотличимые друг от друга.
Вот, до чего дошло смешение двух этих частей, изначально противоположных друг другу и неспособных к сосуществованию. Почему же они все-таки могут уживаться вместе? Ведь в духовном, в отличие от материального, невозможно задействовать взрывной напор и при помощи каких-то исключительных средств и материалов силой перемешать одно с другим.
Смешение произошло благодаря тому, что Бина потеряла свою ступень, вошла в Малхут и испортилась вместе с ней. Иными словами, экрана теперь нет вообще, ни у сосудов отдачи, ни у сосудов получения. А кроме того, всё перемешалось и упало на наихудшую ступень, что привело к разрыву с духовным.
«Разрыв с духовным» означает, что мы не ощущаем Творца, не ощущаем Его келим, Его воздействия, не можем понять, что такое отдача. Ничего, полное разбиение. Речь идет еще не об этом мире, а о других ступенях. Позже мы поговорим о том, чем эти разбитые келим отличаются от нашего мира.
Итак, сосуды разбились. Что это дало? Хорошо это или плохо? Это вещь положительная: благодаря ей удалось внедрить свойства Бины в Малхут. И хотя всё сейчас разбилось, упав с духовной ступени на наихудшую, однако тем самым мы, по сути, добились связи между Малхут и Биной.
Никак иначе мы не могли вызвать эту связь. Мы не в силах, неспособны поднять Малхут в Бину с целью их смешения. Если Малхут поднимается в Бину, значит она уже исправляется Биной, принимая формы отдачи. Однако это невозможно; если бы такое было возможно – Малхут работала бы со своими сосудами отдачи, полученными от Бины, уже в мире Бесконечности.
Малхут неспособна на подъем до своего исправления. А исправление она неспособна обрести, пока не воспримет у Бины ее свойства. Однако она не в состоянии получить свойства Бины посредством подъема к ней. Следовательно, она может воспринять свойства Бины лишь тогда, когда Бина разбита и включена в Малхут в разбитом виде. Позже мы увидим, как решается эта проблема, однако, в любом случае, связь невозможна иначе как путем разбиения и падения на наихудшую ступень.
И у нас, при подъеме снизу вверх с наихудшей ступени, связь с Творцом также начинается с того, что мы чувствуем себя разбитыми. В разбитых ощущениях, в самых плохих состояниях, там, где мы ощущаем свое полное ничтожество, мы начинаем раскрывать Творца, свойство Бины. На эту тему есть много красивых высказываний: «Где видишь Его скромность, там видишь и Его величие», и др. Лишь тот, кто по-настоящему упал, там в падении получает начальную точку своего подъема.
Короче говоря, не пройдя разбиения и не ощутив желания наслаждаться, перемешанного с Биной на наихудших ступенях падения, творение не обретет тех точек, исходя из которых, оно поднимается к исправлению, к связи и к ступени Творца. Это должно быть нам ясно. А потому в самых плохих состояниях, если только им сопутствует связь с Творцом, в осознании того, насколько я и Он связаны или нет, противоположны или нет, в наихудших ощущениях – там Творец скрывается, и там Он начинает нам раскрываться.
Как же нам теперь исправить эти келим? Если мы начнем выявлять разбитые сосуды Бины и Малхут, то увидим, что в общей сложности они подразделяются на четыре вида:
· кли Бины;
· кли Малхут;
· кли Малхут в Бине;
· кли Бины в Малхут.
Сосуды, представляющие собой чистую Бину, Гальгальту вэ-Эйнаим – это чистые келим. Если мы исправляем их, то из них можно сразу же выстроить адекватный парцуф.
Что касается самой Малхут, то из нее ничего нельзя сформировать. Нужно просто сделать на нее Первое Сокращение и вообще не использовать. Эти сосуды, которые мы должны проанализировать, выявив лишь невозможность их использования, называются клипот.
Однако Бина и Малхут существовали и до разбиения. А кроме них остаются еще два вида келим: Малхут, включенная в Бину, и Бина, включенная в Малхут. Они и являются тем желанным надлежащим результатом, который мы ожидали от разбиения, ибо в них Малхут и Бина соединяются друг с другом, и тогда их можно исправить. Ведь если я исправлю Бину, она станет такой же, какой была раньше. Тем самым я не сделаю ничего нового. А потому главное для меня – это два смешанных вида келим.
Малхут, включенная в Бину, может принять на себя сокращение, экраны и свойства Бины. Она может присоединиться к Бине, и тогда Бина с вкраплениями маленьких частей Малхут входит в основную Бину.
Вследствие этого возникает система мира Ацилут. Малое состояние (катнут) мира Ацилут происходит от сосудов Бины, а его большое состояние (гадлут) – от присоединения «АХАПа на подъеме» (АХАП дэ-алия).
Остается последний вид келим: Бина, проникшая в Малхут. Отсюда происходят системы миров Брия, Ецира и Асия.
Мир Ацилут соответствует авиюту корневой и первой степени, а под парсой имеет место авиют второй, третьей и четвертой степени. Вхождение Бины в Малхут на втором уровне авиюта порождает мир Брия, на третьем уровне – мир Ецира, а на четвертом уровне – мир Асия. Получается, что лишь клипот не поддаются нашему использованию до самого Конца Исправления (Гмар Тикун).
Давайте сперва поговорим о мире Ацилут. Как он действует?
Прежде всего, что находится над миром Ацилут? Есть Творец, мир Бесконечности и мир Адам Кадмон. В мире Бесконечности имеется свет Бесконечности, а мире Адам Кадмон – уже светаНаРаНХаЙ, пять светов, соответствующих способности творения внизу принимать их. Далее идет общий табур, а под ним – система мира Ацилут. Ниже – парса и миры БЕА.
Как мы сказали, в мире Адам Кадмон правит Цимцум Алеф: все келим здесь пребывают в совершенстве, и нет никаких проблем. Здесь находятся келим девяти первых сфирот, в которые поднялась Малхут, чтобы задать им параметры и распределить девять первых сфирот по уровням в соответствии со свойствами самой Малхут.
Далее, после разбиения, под табуром, где Малхут соединилась с Биной, было произведено исправление сосудов. В мире Ацилут они были исправлены от Гальгальты вэ-Эйнаим, от свойств Бины, и от Малхут, способной присоединиться к Бине. (рис. 26) Таким образом, мир Ацилут – это, по сути, свойства Бины и Малхут, включенной в Бину. Ну а степень вхождения Бины в Малхут обуславливает миры Брия, Ецира и Асия.
Выходит, что, подобно миру Адам Кадмон, разделившему воздействие Творца на пять светов НаРаНХаЙ согласно экрану Первого Сокращения – мир Ацилут распределяет света согласно смешению Малхут и Бины. Сам он находится в Гальгальте вэ-Эйнаим, и если Малхут может присоединиться к нему в виде АХАП дэ-алия (на подъеме), тогда он действует по отношению к низшим, давая им света. Но какие света он им дает? Это зависит от того, в какой степени низшие способны вызвать АХАП дэ-алия.
Возникает очень интересная система. (Рис. 27) В мире Адам Кадмон Малхут поднялась в девять первых сфирот и распределила света согласно экранам. Теперь же в мире Ацилут Малхут поднялась в Бину и произвела распределение согласно смешению сосудов получения с сосудами отдачи внутри себя самой. Иными словами, если внизу находится творение, в котором присутствуют свойства Малхут и Бины, то в мере своей способности поднять свойства Бины над свойствами Малхут оно может пробуждать мир Ацилут. Оно вызывает «АХАП на подъеме», и в соответствии с этим Ацилут опускает на него свет.
Таким образом, здесь мир Ацилут действует уже по принципу реагирования. Он ждет, пока снизу все разбитые келим поднимут к нему МАН (Мэй Нуквин – просьба низшего), и тогда спускает к ним МАД (Мэй Дхурин – ответ Высшего).
Но о каких еще разбитых сосудах идет речь? Ведь вся система уже сформирована: мир Ацилут и миры БЕА выстроены. Бина вошла в Малхут, в АХАП (озен, хотем, пэ) и выстроила эти миры.
Получается, что мир Адам Кадмон разделяет свет на НаРаНХаЙ - света нефеш, руах, нешама, хая, йехида. Мир Ацилут распределяет свет не в соответствии со ступенями НаРаНХай, а в соответствии со свойствами Бины плюс Малхут вместе. Мир Ацилут относится к самой Бине – к Гальгальта ве-Эйнаим. А АХАП – это миры Брия, Ецира, Асия.
Что происходит в этих мирах? Брия, Ецира и Асия – это Бина, вошедшая внутрь Малхут (1 на рис. 28) и организованная внутри Малхут в такой форме, чтобы построить теперь света: нефеш, руах, нешама. А эти света будут влиять на творение, находящееся в этих мирах. Но творения пока еще нет.
Можно представить это другим образом: Мир Адам Кадмон, Ацилут, Брия, Ецира, Асия и после них – творение. (см. Рис. 29) А над всем этим: Творец.
Почему мы не изображаем это в таком виде? Потому что творение относится к келим Малхут, а келим Малхут – это все келим миров Брия, Ецира, Асия, поскольку озэн (ухо) относится к Брия, хотэм (нос) – к Ецира, и пэ (рот) – к Асия. Поэтому творение получает из всех миров: Брия, Ецира, Асия вместе, параллельно – из каждого мира свой свет НаРаН (нефеш, руах, нешама).
А где же свет хая и ехида? Светов хая и ехида нет. Позже мы поговорим о том, что с ними происходит.
Итак мы пришли к такому состоянию: от мира Адам Кадмон до Ацилута происходит уменьшение света, а затем уже миры Брия, Ецира и Асия градуируют эти света поступенчато, соответственно степени исправления Малхут за счет Бины.
Таким образом, до сих пор была построена система, способная, в случае появления здесь творения, обеспечить для него воздействие, исходящее от Творца сверху вниз – поступенчатое, раздельное, направленное, построенное таким образом, что если творение разобьется, эта система сможет понять его, подготовить его к исправлениям в любых состояниях, какие только могут быть, и начнет исправлять его, доведя до самого Окончательного исправления (Гмар Тикун).
Эта система называется системой миров (олам - мир) – от слова алама (сокрытие), поскольку в мирах существует скрытие и раскрытие, определяемое тем, какое воздействие необходимо оказать на творение в каждом конкретном состоянии: сколько нужно в нем исправить, выяснить, вызвать в творении осознание зла, осознание добра и т.д.
Почему эта система готова, способна к такой работе? Потому что она уже построена из творения – из разбитого творения. Она впитала, абсорбировала его внутри себя и была построена из их общих, совместных келим, созданных сочетанием разбитых келим Бины и Малхут. Такова, в сущности, система миров.
А затем появляется творение. Что такое творение? Это та же самая Малхут мира Бесконечности. Мы говорили, что должны исправить эту Малхут – именно она является творением.
Как мы исправляем ее? Ведь мы говорили, что ее невозможно исправить?! Эта Малхут не способна перенять никаких свойств Творца. Она не способна прилепиться к Нему, не способна абсорбировать Его свойства. И как же в таком случае она будет затем исправлять себя, становиться подобной Ему?
Правильно, творение не способно включить свойства Творца внутрь своей природы. Оно может перенять природу Творца только как намерение, надстроенное над своей природой, но не включенное внутрь этой эгоистической природы. Творение может получать ради отдачи, но мы еще увидим, в какой форме это возможно сделать и при каких ограничениях.
То есть, существует некое исправление, обязательное для прохождения творением, и это исправление называется осознанием самого себя относительно Творца. Это то, что следует из Малхут мира Бесконечности.
Иными словами, мы не можем вызвать в Малхут мира Бесконечности такое исправление, которое бы обратило ее в Бину. Этого никогда не может произойти.
Мы можем заставить Малхут мира Бесконечности прежде всего ощутить свое зло, то есть почувствовать насколько она противоположна свойству Бины, свойству Творца, когда бы она до такой степени захотела стать как Бина, что попросила бы исправить ее. А когда к ней придет свойство Бины, оно исправит Малхут, дав ей масах (экран), который будет намерением ради отдачи. В такой форме исправление возможно.
Таким образом, природа остается той же самой природой. Поверх Малхут, поверх природы добавляется только намерение ради отдачи, а сама Малхут не может получить большее исправление. И даже этот экран и намерение ради отдачи возможно надстроить не на всю Малхут, а лишь на часть, называемую Гальгальта вэ-Эйнаим и АХАП дэ-алия, но не на часть, называемую лев а-эвен (каменное сердце).
Это значит, что даже если внести, ввести в Малхут все свойства Творца, тем не менее, после всех выяснений и исправлений она будет разделена на две части, называющиеся РаПаХ и лев а-эвен.
РаПаХ – это 288 частей внутри Малхут, которые можно исправить. А лев а-эвен – это 32 части, частные сфирот малхут внутри Малхут, которые невозможно исправить. Все вместе это составляет парцуф Малхут (см. Рис. 37).
Теперь уже можно начать выяснять, что такое парцуф Малхут, называющийся парцуфом «человек» или Адам Ришон, или нешама (душа). Эта душа может теперь родиться. Сначала строят всю систему миров, и это происходит за счет действия и влияния света. Там нет никакой свободы выбора, пока еще нет творения. Это просто действия, производимые светом над желанием насладиться словно в соответствии с сухими, физическими законами. Система миров строится за счет взаимодействия желания насладиться и света: тик-так, тик-так, тик-так... И таким образом были построены все миры, от начала и до конца.
После этого в действие вступает Малхут мира Бесконечности и начинает рождаться в виде парцуфа, называемого Адам (человек). До этой точки мы дошли.
Вопрос: Как все-таки произошло смешение свойств Творца и творения, если эти свойства изначально противоположны друг другу?
Эти свойства являются противоположными, если речь идет об отдаче и получении. Постараемся проникнуть в это... Я скажу несколько фраз по этому поводу и не буду заходить глубже. Бина – это тоже Малхут, это тоже желание получать, принявшее на себя свойство отдачи. В своей основе Бина не является самим Творцом, который бы разбивался вместе с творением. Говоря о Бине, мы имеем в виду часть творения, находящуюся на определенных уровнях развития и потому обладающую авиютом бет и свойствами Творца. Эти части творения смешиваются с теми частями, в которых желание получить уже созрело.
Мы не говорим о самом Творце. Бина – это в любом случае сфира, это свойство Творца, но находящееся уже внутри желания насладиться, внутри материала творения, а не в самом Творце. Если говорить о самом Творце, то конечно не может быть, чтобы Творец и творение смешались вместе. Это два разных вида природы – противоположных друг другу. Невозможно приблизить их, соединить их вместе.
Творец и творение могут приблизиться, соединиться и даже слиться друг с другом только за счет построения нами намерения – намерения, поднимающегося над материалом. Я никогда не буду находиться в одном материале с Творцом. Я – желание насладиться и этим желанием и останусь. Я могу быть с Ним только в таком же как у Него намерении. Я буду в намерении ради отдачи, чтобы отдавать посредством своего материала, и Он – в намерении отдачи. Но у Него нет материала, Он – просто сама отдача. Таким образом, я становлюсь равным Ему только за счет того, что из своего материала пробуждаюсь, поднимаюсь и строю над своим материалом намерение ради отдачи, и тогда мое намерение подобно Его намерению, Его действию.
У Него действие и намерение, и материал, и дело – это одно и то же. Если я своим намерением стану подобен Ему, это будет означать, что я равен Ему. Почему? Сейчас речь не идет о материале, поскольку я пользуюсь материалом только как средством для построения в себе альтруистического намерения. И когда мы говорим о взаимном проникновении творения в Творца или Творца в творение, мы имеем в виду намерения, а не сам материал.
Мы никогда не сможем смешаться самим материалом – останусь я, находящийся на своем уровне, в десяти сфирот, подобный Творцу, равный Ему, соединенный с Ним, слитый с Ним, но я буду существовать отдельно, самостоятельно, сам по себе, поскольку мой материал не исчезает. Именно это является чудом! Ведь вместе с тем, что я становлюсь равен Творцу и абсолютно подобен Ему, я тем не менее не пропадаю внутри Него, так как состою из материала «еш ми аин», «созданного из ничего», и поэтому остаюсь самостоятельным. В том и состоит цель творения, чтобы творение стало совершенно одного уровня с Творцом в своих возможностях, в своей природе, во всем, но чтобы при этом, оно осталось независимым и самостоятельным.
Поэтому смешение происходит только в намерениях, а не в самих исходных свойствах. Мое подлинное свойство – это желание насладиться, и таким оно и останется.
Вопрос: В чем различие Малхут мира Бесконечности и Малхут парцуфа Адам Кадмон?
В чем различие между Малхут мира Бесконечности, Малхут парцуфа Адам Кадмон, сфирот малхут мира Ацилут и всех остальных сфирот малхут? Все эти малхут – результат проникновения Малхут мира Бесконечности внутрь тет ришонот (девяти первых сфирот), когда она ослабляет воздействие мира Бесконечности относительно человека, который впоследствии будет там рожден.
Это ослабление воздействия производится согласно всевозможным свойствам, которыми будет обладать человек. Он будет сохранять условия Цимцум Алеф (первого сокращения) – значит у него должен быть экран на Цимцум Алеф. Он будет сохранять условия Цимцум Бет (второго сокращения) – разделенные Гальгальта вэ-Эйнаим и АХАП, у него будет АХАП дэ-алия – то есть некоторая, небольшая отмена Цимцум Бет. В нем будет также три линии, будет 125 ступеней, по которым он должен постепенно подняться, приобретая экраны на свои желания. Он также должен выбрать и выяснить находящееся внутри него лев а-эвен и отметить его, отделить его до Гмар Тикун, так как оно будет исправлено только при Окончательном исправлении.
Все эти действия происходят в творении, однако они вызваны светом, приходящим из мира Бесконечности через все эти миры и действующим в творении в соответствии с тем, куда нужно его в данный момент привести: к осознанию зла, к просьбе о хорошем, к подъему МАН, к получению МАД, к исправлениям. Эти света приходят как свет АБ-САГ, вызывающий исправление, а до этого приходит пробуждающий свет – свет из дадей беэма (сосцов животного), который призван пробудить творение к совершению исправлений и вообще ко всем действиям. А затем приходят света «вскармливания», света малого состояния (катнут), свет большого состояния (гадлут).
Эта система миров должна обеспечить будущему творению все необходимое воздействие, во всех ситуациях, через которые оно будет проходить. Поэтому все должно быть заранее для этого устроено в мирах, чтобы в какое бы состояние ни попало творение, высшая система всегда была готова почувствовать, понять его (и конечно понять его лучше, чем оно понимает самого себя), и пробудить его к исправлениям.
Она должна позаботиться о творении, подталкивая его сзади – пробуждая его ко всевозможным действиям, а также воздействуя спереди – то есть в двух различных формах: в скрытии и в раскрытии. Словно взрослый, играющий с младенцем, который знает для чего нужна эта игра, а сам младенец – не знает, но за счет этой игры растет.
Мы не смогли бы ни начать, ни продолжить исправления без включения Малхут на всю высоту уровня девяти первых сфирот, чем собственно и является система всех миров – от мира Бесконечности до этого мира.
Вопрос: Малхут мира Бесконечности, черная точка, из которой был создан Адам Ришон – это источник лев а-эвен в мирах? Или лев а-эвен это тоже включение в тет ришонот?
Нет. Лев а-эвен – это не Малхут мира Бесконечности. Малхут мира Бесконечности принадлежит святости, она еще не ощущает себя отделенной от Творца. Она немедленно делает на себя сокращение и не желает получать ради себя. На самом деле, она и не ощущает своего характера в такой форме, как это ощущает лев а-эвен.
Лев а-эвен образуется после того, как я прохожу разбиение (швира), попадая на самый низкий, самый плохой уровень, после чего на меня постепенно начинает нисходить свет, и я начинаю анализировать в себе различные виды желания, выясняя какими желаниями я способен уподобиться Творцу в большей или меньшей степени, тем или иным образом. И постепенно я выясняю в себе такие желания, в которых я не хочу и не способен стать подобным Творцу, и вообще не могу себе даже представить, что существует хоть какая-то форма их использования, делающая их подобными Ему. Например, насилие или преднамеренное и неоправданное убийство. Допустим существуют в этом мире такие действия, которые мы не способны оправдать ни в какой форме.
Я не знаю, как это объяснить, но в духовном мы выявляем в себе такие желания, с которыми ничего не можем сделать. Это относится к «запретительным заповедям», которые в итоге так выражаются для нас в духовной форме, в наших книгах.
Таким образом, лев а-эвен – это не Малхут мира Бесконечности. Это та часть Малхут мира Бесконечности, о которой выяснено, что она совершенно противоположна Творцу. Можно сказать, что эта часть действительно находится внутри Малхут мира Бесконечности, но она не определена, не выяснена. Разумеется, она там, а что же есть еще, кроме Малхут мира Бесконечности? Но после того, как мы проанализировали Малхут мира Бесконечности, мы находим в ее глубине такие желания, которые исходят из точки, абсолютно противоположной Творцу.
Творец создал желание насладиться как «еш ми аин», «нечто из ничего», именно из «ничего», и это и есть то самое лев а-эвен, так как все остальное, что может происходить не из «ничего», в итоге будет исправлено, сольется и в какой-либо форме присоединится к Творцу.
Вопрос: Получается, что когда мы говорим, что система миров была создана до сотворения души – это неправильно? Потому что система миров создается внутри души?
Нет! Прежде были созданы миры, а потом Адам Ришон. После того, как образуются все миры и распространяются на свои места на том уровне, который им тогда соответствовал – до хазэ мира Ецира, тогда был создан Адам Ришон присоединением Малхут мира Бесконечности к хазэ мира Ецира. А оттуда он поднялся к Аба вэ-Има мира Ацилут, там произошел зивуг и получился парцуф Адам.
Это произошло после того, как были созданы все миры. Или можно рассказать об этом в другой форме, как описано в Торе: после того, как был создан весь мир – весь скот, все животные и все остальное, тогда последним был создан человек в «пятом часу шестого дня» (ба-йом а-шиши –> «ба» - «бет-хей» - бе-хей (5) – «в 5»).
Вопрос: Тогда что это такое лев а-эвен миров, если человек еще не был сотворен?
Это - лев а-эвен, действительно внутри него есть такое свойство, но кто раскроет, что это лев а-эвен? Пока еще нет раскрытия по отношению к самому себе! Можно спросить: а кто такой я, открывающий, что это лев а-эвен? Я – это само лев а-эвен? Или я – это некая точка Бины во мне, из которой я смотрю на себя, на свое строение и говорю: вот это – тет ришонот, это – АХАП дэ-алия, Гальгальта вэ-Эйнаим, РаПаХ, лев а-эвен. И кто тогда я сам?
На самом деле, я не нахожусь во всех этих частях. Я – это точка, родившаяся вследствие всех этих выяснений. Это нечто родившееся в результате анализа и выяснения свойств. Эта точка является разумом творения, начинающим существовать параллельно с разумом Творца.
Этот разум никогда не существовал прежде, ведь творение в сущности воспринимает, строит и исправляет себя для того, чтобы создать голову (рош) парцуфа. Сам парцуф Адам Ришон уже существовал. Сначала он был не разбит, а потом разбился. После того, как он разбился, его начинают исправлять и приводят к тому состоянию, в котором он был прежде. Ну может быть к немного более высокому. Но что мы этим выигрываем?
Мы выигрываем то, что за счет анализа и исправления, приобретаем разум! Мы приобретаем рош – такую, как у Творца! Мы понимаем, для чего все это было сделано, чего Он хотел достичь, создавая это творение, кто такой Он, какими Он обладает свойствами – и таким образом постигаем вечность и совершенство! Мы становимся такими, как Он, поскольку приобретаем голову. А эта голова создается в результате работы с разбитыми келим.
Кто определяет сейчас: какая часть относится к лев а-эвен, а какая – к тет ришонот? Кто он такой? Это говорит, определяет и отвечает рош (голова), которую я сейчас рождаю в самом себе, строю в себе. И эта рош – по сути, и есть я сам. А все остальное, кроме этой рош, было создано Творцом. И Адам Ришон был создан Творцом, только у него не было рош. Какая у него была рош? Он состоял из одних отдающих келим, являющихся свойствами Творца. И все миры были созданы Творцом.
Произошло что-то новое в результате исправлений? Был произведен анализ – но для чего? Только для того, чтобы построить рош парцуфа Адам Ришон, подобную рош (разуму) Творца. И таким образом мы постигаем план всего этого длинного сценария, и в этом состоит наше приобретение.
Вопрос: Что это такое: рош, анализирующая миры?
До того, как был создан Адам Ришон, приходящий затем к исправлениям и начинающий строить самому себе рош, вся природа, вся эта система действовала внутри своей природы – природы желания насладиться, внутри которой действует свет. Свет воздействует на келим, раскачивает, трясет их, выясняет, разбивает и исправляет поступенчато, уровень за уровнем. Будто взяли два материала и поместили их вместе, и они начинают смешиваться, происходят какие-то химические реакции, физические взаимодействия. Это происходит уже автоматически, само собой, вследствие того, что образовалась связь между двумя видами природы – природы Творца и природы творения.
До того, как мы совершаем какие-то усилия снизу, чтобы поднять МАН в АХАП мира Ацилут и начинаем выяснять и исправлять самих себя, до этого нашего усилия, производимого в группе, в учебе, до этого усилия, обращенного к Аба ве-Има мира Ацилут – до того ничто в природе всего мироздания не обладает никакой свободой воли. До этого все происходит в механической форме, словно тикают часы и доходят до этого мгновения.
А в тот момент, когда появляешься ты – то есть разбитый Адам Ришон, в совершенном смешении свойств, и вследствие этого смешения приходишь к открытию, что тебе необходимо исправление, точка в сердце, тогда все начинает продвигаться с помощью этой системы, предназначенной привести тебя к исправлению, насколько ты способен это выдержать.
Насколько ты способен вытерпеть, тебя подталкивают вперед посредством страданий, за счет разницы между светом и келим. Пока ты не прочувствуешь это и не начнешь кричать: «Спасите! Помогите! Я хочу исправления! Я хочу быть отдающим!» Тогда уже начинается действие с твоей стороны, и это действие – подъем МАН – единственное действие, в котором тебе предоставлена свобода. Мы изучаем это в статье «Свобода воли».
До этого момента все происходит чисто механически. Я не нахожу слов это выразить, но это просто машина – в ней нет собственных желаний, то есть нет ощущений, нет боли, нет наслаждения. Это просто процесс взаимодействия светов и келим, как двух видов природы, и все.
Вопрос: Зачем мы тогда изучаем эту систему, созданную до человека, если это просто машина? Что нам дает изучение того, что находится выше нашего корня?
Я изучаю высшую систему, построенную до меня и призванную обеспечить меня светом, необходимым мне для анализа и исправления. Почему я ее изучаю? Потому что я должен связаться с ней и потребовать от нее ее природу.
Однако в системе миров эта природа существует в неживой форме. Это просто эталон, образцы того, каким я должен быть. Но этот образец – мертвый, это просто некое свойство. А я, воспринимая это свойство и желая перенять его на себя, становлюсь человеком – переживающим, болеющим, чувствующим это свойство. То есть я оживляю его.
Мы знаем, что внутри человека есть гены, всевозможные внутренние системы, механически действующие на биологическом уровне внутри человеческого организма, пока дело не доходит до ощущений и до нашего анализа своих ощущений. Поэтому ощущающая часть во мне должна определяться выяснением исправления малхут с помощью бины.
А в системах миров не существует такого понятия как «некто ощущающий». Ощущает только человек. Почему? Потому что это точка желания насладиться, созданная «еш ми аин» (из ничего). Все остальные точки, которые мы якобы исправляем или исправляем этим миры – все это не относится к «еш ми аин», а относится просто к природе. «Еш ми аин» - это только Я, ощущающий себя противоположным Творцу.
Вопрос: Воспринимается ли Творец так, будто у Него есть желание, будто Ему не хватает чего-то?
Воспринимается ли Творец так, будто у Него есть желание? Мы так говорим, потому что приписываем Творцу все наши системы. Мы не можем говорить о Нем в отрыве от самих себя, поскольку мы не можем вообразить ничего, выходящего за рамки самих себя, что бы существовало не так, как мы представляем себе в своих ощущениях и вследствие своего понимания. Поэтому, когда я говорю о Творце, я говорю о том, как представляю Его себе, а не о том, что Он есть на самом деле.
Раскрытие Творца приходит из самых плохих состояний. Самые плохие состояния – это те, в которых человек начинает открывать насколько он противоположен Творцу. Здесь не имеются в виду просто неприятные состояния, такие как сгоревший дом или банкротство в своем бизнесе. Речь идет о духовном. Из самых тяжелых, ощущаемых мною духовных состояний – именно из них я начинаю раскрывать свою связь с Творцом.
Вопрос: Что это за сила, которая смешивает Малхут и Бину и вызывает взрыв, их взаимное проникновение и весь последующий происходящий с ними процесс?
Эта сила называется «свет Бесконечности». Он находится выше света хохма и выше света хасадим, над всеми светами. Это сила, строящая все творение – та же сила, которая властвует и над Биной, и над Малхут, и над хохма, и над хасадим. И по сути, этот свет приходит из мира Бесконечности через парцуфим АБ и САГ.
Парцуф Кетер, Гальгальта – это в сущности корень, начало системы. А парцуфим АБ и САГ – это парцуфим, системы которых формируют свет хохма и свет хасадим, обязанные вместе воздействовать на творение. Поэтому свет, приходящий от них обоих вместе, называется светом АБ-САГ. Этот свет АБ-САГ исправляет келим.
Какой свет разбивает келим? Тоже свет Бесконечности, но не тот, который приходит через систему АБ-САГ, а свет Бесконечности, снисходящий поступенчато, по уровням, чтобы наполнить эти келим с намерением ради отдачи. Но в итоге и то, и другое – это свет Бесконечности. Именно, он выполняет все действия.
Вопрос: Если у Адама Ришон не было рош...
У Адама Ришон есть рош, но эта рош, происходит из отдающих келим. Это не такая рош, которая бы сформировалась в результате его анализа всех отдающих и получающих келим вместе, анализа всего смешения Бины и Малхут, отделения одного от другого, вследствие чего он бы познал действия Творца и Его природу в отличии от действий и природы творения. А ведь именно в этом заключается его главное приобретение.
Вопрос: В чем отличие между внутренним и внешним желанием Творца?
Внутреннее и внешнее желания отражены на рис. 38 (то же рис. 4, 5) двумя стрелками (1, 2) – одна внутри другой. Внешнее желание Творца, желание насладить творения – это большая стрелка. Внутри этой большой стрелки (1) есть маленькая стрелка (2). Маленькая стрелка означает намерение Творца насладить творения только посредством достижения подобия свойств, только за счет того, что творение достигает Его уровня.
Мы уже изучали, что просто построить эгоистическое желание и наполнить его наслаждением – это не означает «насладить» это желание. Поскольку в то мгновение, когда это желание начинает наполняться, оно прекращает наслаждаться. И если оно полностью наполняется, то перестает ощущать наслаждение, так как наслаждение ощущается только при условии недостатка наполнения, потребности в нем. А если потребность пропадает – пропадает и наслаждение. Они должны быть неразлучны, должны держаться друг за друга словно фитиль и свет пламени.
Как сделать так, чтобы желание не гасло, а даже, наоборот, все время росло, и все время требовало наслаждения? И наслаждение не гасило бы желания, а становилось с каждым разом все больше и больше? Это можно сделать только, установив экран (масах) между желанием и наслаждением – намерение ради отдачи.
Если желание строит над собой такую отталкивающую силу, то оно начинает наполняться и его наслаждение заключается в Творце. И тогда человек ощущает свои келим в Творце и свое наслаждение в Нем. Он отключается от самого себя, и желание насладиться, находящееся в нем, становится для него только средством. Словно мать, чувствующая происходящее в ребенке: что он хочет, как он наслаждается, и находящая в этом все свое наслаждение.
У матери есть желание насладиться от ребенка, но где источник, в котором она чувствует наслаждение? Он в ребенке. В нем находятся келим, в нем – наслаждения, и от этого она наполняется и наслаждается.
Если человек отключается от своих получающих келим, от того места, в котором он ощущает наслаждение, то он получает возможность наслаждаться вечно. И это называется вечной жизнью. Тогда все происходит в духовных келим – выше времени и движения в пространстве. Это становится возможным, только за счет того, что келим отделяются от ощущаемого в них наслаждения.
Вопрос: Что такое «первородный материал» (хомер а-юли)?
Первородный материал – это желание наслаждаться, противоположное желанию Творца наслаждать и созданное в виде черной точки на фоне белого света. Это всё, что есть, единственное различие между Творцом и творением. Этот первородный материал остается у нас в виде черной точки, однако, исходя из нее, мы начинаем строить себя.
Книга Зоар выражается поэтически: посредством этой черной точки мы начинаем рисовать буквы на белом фоне, на свете. Из потребности, называющейся «первородным материалом», мы начинаем изображать различные виды взаимосвязи между этим материалом и светом. И всего у нас выходит 22 формы взаимосвязи, 22 буквы алфавита. Существуют также пять дополнительных форм написания букв в конце слова (МаНЦеПаХ). Таким образом, всего есть 27 форм.
Благодаря комбинациям этих форм мы приходим к пониманию Творца от слова «В начале» (Берешит), которым открывается Тора, и до слов «на глазах у всего Исраэля», которыми она завершается. Таким образом, мы приходим к раскрытию всех букв Торы. Весь ее текст, начиная с буквы «бет» и до последней буквы «ламед» – это как код, как одно слово без пробелов. В целом, все эти буквы одной строкой описывают нам раскрытие Творца творению.
Вопрос: Когда группа начинает работать как парцуф?
С того момента, как она хочет быть группой. С того момента, когда появляется хотя бы внешнее устное согласие, хотя люди еще не понимают, не знают, что с ними происходит. Действительно, они еще не чувствуют, еще не могут представить себе этого, однако если они, пускай даже в общих чертах, каким-то образом принимают такое решение, подобно детям, не обладая большими познаниями – они уже начинают продвигаться вверх в качестве группы, и в ней начинаются перемены.
Вопрос: Как каббалисты, вернувшиеся к своему корню в душе Адам Ришон, постигли остальные вещи?
По пути назад к корню, к Адам Ришон, мы постигаем всё.
Можно понять этот вопрос следующим образом. Корень Адам Ришон находится всего лишь в Бине мира Ацилут. Ведь там Адам Ришон родился. А если речь идет о Бине или о парцуфе Аба вэ-Има мира Ацилут, то «за кадром» остаются Арих Ампин, Атик, все парцуфы мира Адам Кадмон и весь мир Бесконечности.
Дело в том, что, когда мы приходим к своему корню в парцуфе Аба вэ-Има мира Ацилут, когда у нас заканчивается «АХАП на подъеме» (АХАП дэ-алия) и остается затем лишь «АХАП на спуске» (АХАП дэ-йерида) – тогда мы получаем от табура Гальгальты и до ее окончания весь свет Бесконечности. Находящиеся под Гальгальтой Бина и Малхут, которые хотели исправиться посредством некудот дэ-САГ, теперь исправляются. Иными словами, парцуф Гальгальта наполняется целиком, над табуром а также под ним, и это означает, что Малхут Бесконечности, исправленная посредством экрана на десять своих сфирот, наполнена светом Бесконечности.
Вопрос: Каким образом мир Ацилут может захотеть создать человека?
Он не хочет создавать человека. У него есть необходимость в этих действиях вследствие соединения Бины и Малхут. Дело не в том, хочет он или нет. Там это происходит не «по желанию». Это можно сравнить с нашими генами или с различными процессами в организме.
Скажем, я внезапно ощущаю некое воодушевление, но если ты снимешь показания моего тела, то получишь картину электрических импульсов, метаболизма, прохождения различных веществ через мембраны, ионов, электронов, кислот и других химических процессов... Я же в результате всего этого испытываю воодушевление, взволнованность, боль, радость.
Таким образом, всё зависит от того, о каком уровне действия идет речь. Если мы говорим о ступени человека, то имеем в виду ощущающего; а если о ступени, которая ниже человеческой, то имеем в виду реализацию без ощущающего. Например, мы говорим, что, опустившись на свою последнюю ступень – далет дэ-далет – Малхут Бесконечности ощущает тогда собственную противоположность Творцу и, не в силах ничего с этим поделать, производит сокращение, которого раньше она не осуществляла. Именно там чувствуется боль.
Миры же вообще выстроены из девяти первых сфирот, а не из Малхут. Малхут лишь проникла в девять первых сфирот и произвела сокращения сообразно с собственными свойствами по принципу «Дай мне столько, сколько я способна принять». Она поставила различные условия, т.е. упорядочила девять первых сфирот таким образом, чтобы они были правильно выстроены относительно нее и могли дать столько, сколько она потребует. Однако она не преследовала целью придать им какое-то ощущение. В них нет ощущения, зато есть принятие боли творения, сообразно с которой они и действуют. Для них эта боль выражается в виде технических данных.
Миры (оламот) – это система сокрытия (алама). Если мы и можем говорить о ком-то как об ощущающем, то это Творец. Но опять-таки, мы относим к Нему свои ощущения и просто выражаемся подобным образом, не имея в виду Его Самого.
Вопрос: Согласно нарисованным чертежам, клипа как будто бы вовсе не действует в творении и не обладает никакой структурой. Значит она не является частью всей системы реальности?
Это неверно. Я просто не мог охватить этого, поскольку многое сокращал. К сожалению, я пока что не могу выражаться легко. В любом случае, я стараюсь, и иногда это удается, но в принципе, пока нет. Поэтому мы не упомянули здесь систему нечистых миров БЕА (БЕА дэ-тума), три линии, душу среди всего этого и ее строение между Хаш и Маль, три нечистые клипы, клипат нога и т.д. Мы еще поговорим об этом. Внутри кроется множество деталей, которые нужно изучать; однако, насколько я понимаю, сейчас это не так необходимо для общего объяснения, которое я хотел здесь дать.
Мы еще будем проходить строение Адам Ришон, его распределение внутри миров БЕА, а также структуру этого мира, т.е. систему государств и их устройство сообразно с духовным построением Адам Ришон и материальными ветвями. Возможно, мы поговорим о частях души в их соответствии с Гальгальтой вэ-Эйнаим и АХАПом: 288 частей плюс «каменное сердце» (лев а-эвен). Затем мы перейдем к исправлениям: сосуды Святости, три нечистые клипы и клипат Нога меж ними.
Главное, я не хочу запутывать вас. Ведь можно «выхватить», но не «ухватить», а я хочу, чтобы вы вышли отсюда с ощущением общего понимания. Это лучше, чем путаться. Нет такой заповеди: путаться, глотая всё подряд.
На нас сверху вниз воздействует механическая система, абсолютным образом ведущая нас к такому состоянию, в котором мы сможем по свободному выбору осуществить свободное действие со своей стороны. Пока мы самостоятельно не осуществим свободного действия, эта система работает над нами шаг за шагом в течение тысяч лет, колотя тебя и устраивая тебе несчастья, пока ты всерьез не задашься вопросом: «Почему я страдаю?» А когда ты задаешь себе этот вопрос, удары все еще продолжаются до тех пор, пока ты не начинаешь правильно искать ответ на него.
И так всё дальше и дальше, пока ты не обнаруживаешь, что свободный выбор осуществляется посредством вступления в группу и желания выстроить ее по отношению к себе таким образом, чтобы она сообщала тебе некий духовный подъем. Почитай статью «Свобода воли», и ты увидишь, где у тебя есть возможность единственного самостоятельного действия во всей реальности.
Ты можешь быть удачливым и умным человеком, можешь делать всё что угодно. Ты скажешь, что сделал всё сам, но это сделал не ты – это сделали из тебя посредством всё той же неживой системы. Пока у человека не появляется свободный выбор, мы вообще не считаем, что у него что-то есть – это просто винтик. Только каббалист, т.е. тот, который хочет стать подобным Творцу, из плоскости этого мира поднявшись благодаря своим усилиям вверх к Нему – лишь он действует свободно. Такое действие не спускается свыше абсолютным образом – это уже его действие.
Вот и всё. Так мы смотрим на весь мир и, прости меня, на тебя тоже. Сейчас ты сидишь здесь. На протяжении десятков оборотов через различные жизненные проявления тебя вели к этому. Но и теперь ты со своей жизнью всё еще являешься пустым местом, нулем, ты просто не существуешь, потому что всё это было запрограммировано согласно действиям, которые производились над тобою свыше.
Когда же можно сказать о человеке, что он начинает в чем-то становиться самостоятельным и делает что-либо сам? – Когда он начинает приподниматься. А если потом он забывает, падает и возвращается к обычной жизни – снова становится нулем.
Таким образом, нам нечего спрашивать, что остается после прожитой жизни. Если ты не сделал какого-либо усилия в направлении своего духовного подъема – то как родился, так и уходишь.
Нужно изучать статью «Свобода воли». Там всё ясно изложено.
Вопрос: Какой пример можно привести тому, что Бина должна испортить собственные свойства для соединения с Малхут?
Бина – это не материал. Материалом является желание наслаждаться, а Бина – это исправление на желание наслаждаться, дабы оно работало по принципу отдачи.
Что такое САГ? САГ – это материал желания наслаждаться с экраном второй степени. А потому он работает как дающий, как Творец. Однако внутри это материал, только не на уровне человека – вторая степень, а не четвертая.
Чтобы испортиться, парцуфу САГ нужно лишь потерять свой экран, вот и всё.
* Урок конгресса "Израиль - Октябрь 2004"