Вы находитесь здесь: КАББАЛА / Библиотека / Йегуда Ашлаг (Бааль Сулам) / Предисловие к книге "Уста мудрого" / Предисловие к книге "Уста мудрого" - уроки / Статья "Предисловие к книге "Уста мудрого" - серия уроков с 15 по 18 ноября 2004 г. / Предисловие к книге "Уста Мудрого" - урок 2, 16 ноября 2004 г.

Предисловие к книге "Уста Мудрого" - урок 2, 16 ноября 2004 г.

Лектор: Михаэль Лайтман

И как суть действительности, распространилась до своего низшего окончания, которым является материальное тело с облаченной в него душой, так и нисхождение по закону причины и следствия явилось сутью существования действительности, то есть путями воздействия Творца, нисходящего по ступеням. Так что предназначение Высшего света, являющегося наивысшим из всех высших, - распространиться и достичь души, облаченной в материальное тело в этом мире, как сказано: «И наполнится земля знанием о Творце, и не будет больше человек учить ближнего своего знаниям о Нем, так как познают Меня все, от мала до велика».

Желание наслаждаться является сутью всего сотворенного, материалом творения, «нечто из ничего» - единственным, что было создано. Это желание имеет две формы. С самого начала оно, проходя череду перевоплощений, спускается сверху вниз, то есть, теряет свое подобие Творцу и достигает такого состояния, в котором включает в себя две части.

Первая часть желания исходит из системы чистых миров (святости), а вторая – из системы нечистых миров (клипот). Системы чистых и нечистых миров - это две системы духовного мира. В системе чистых миров наслаждение ощущается от отдачи, материал творения – желание наслаждаться – уже защищено экраном и стремится к отдаче.

В системе клипот наслаждение заключается в получении ради себя. Получая от системы клипот, материал творения, желание наслаждается от того, что наполняет себя, оно ощущает Творца, но при этом желает наслаждаться от Него.

В результате этого в нашем мире существуют два вида материала. Один из них – наше желание наслаждаться, стремящееся к наслаждениям без всякой связи с Творцом, - это наше общее желание к телесным наслаждениям или к деньгам, почету и знаниям.

Но в человеке может родиться, начать ощущаться другой материал – желание наслаждаться от Творца. Это желание также возникает в результате существования системы клипот, но оно уже связано с ощущением Хозяина, как в примере с гостем, пришедшим к хозяину. У него уже есть отношение к Хозяину.

Это означает, что второй вид желания наслаждаться уже относится к неисправленному духовному желанию, и с него человек начинает свое духовное развитие. Написано «человек рождается диким». Имеется в виду именно второй вид желания, а не стремление к телесным или общественным наслаждениям, ощущаемым каждым человеком, живущим в этом мире.

Желание наслаждаться, о котором сказано, что «сердце человека зло от юности его» и является «злым началом», - это желание не по отношению к материальному. Говорится о желании, направленном к Творцу. Именно его нам необходимо исправить, и это желание мы имеем в виду, когда говорим о материальном теле и душе, облаченной в это тело.

Душой называется желание наслаждаться, находящееся в связи, в отношениях с Создателем, - часть Духовного свыше. Почему душа называется частью Духовного? – Потому что она отделена от Творца отличием свойств. Отличие свойств означает, что вместо отдачи Творца в этой части возникло желание наслаждаться – она потеряла экран, спустилась с уровня подобия Творцу до противоположного Ему уровня. Именно эту часть души мы должны исправить.

Получается, что, говоря о теле и душе, мы подразумеваем два вида желания. Первый вид желания – это тело. Оно представляет собой желание к телесным и общественным наслаждениям, то есть, к наслаждениям в плоскости этого мира, в них оно и остается. Сколько бы человек ни исправлял свою душу – второй вид желания, тело остается тем же самым желанием.

Душа – это желание наслаждаться также ради себя, ради получения, но при этом оно ощущает, что Источником наслаждений является Создатель, Творец. Возможно, вначале человек чувствует это неосознанно, он еще не знает, не осознает Создателя, но уже ощущает, что наслаждения, к которым он стремится, находятся выше этого мира, вне того, что находится в этом мире напротив его пяти органов ощущений.

Вопрос: Для чего необходимы общественные желания, почему они остаются?

Необходимость в общественных желаниях не является искусственно созданной. Желание наслаждаться, созданное Творцом «нечто из ничего», распространяется, то есть развивается по мере отдаления от Творца, и тем самым выделяет себя.

Оно достигает своего конечного состояния, в котором совершенно не ощущает Хозяина, Создателя, своего корня, и находится на такой наинизшей ступени, что не способно изменить себя. Желание существует в такой неизменной форме, предназначенной для того, чтобы человек, находясь внутри этого желания, начал с него расти.

Желание само по себе остается таким же, человек подпитывается через него, но с этой ступени и выше он начинает раскрывать и развивать свое отношение к Творцу.

Рис. 1

Получается, что распространение желания из «нечто из ничего» до нашего мира привело к состоянию, в котором у нас есть тело – пять органов чувств. Этими органами чувств мы ощущаем телесные и общественные наслаждения. Именно это называется телом, а не наше биологическое тело, нечто кроме него – желание.

Но есть у нас еще одно тело – желание, являющееся телом будущего духовного кли. Если я начну развивать его, то приобрету на него экран и в работе над ним начну подниматься.

А неживое желание остается неживым. Оно существует, как ветвь от корня, скажем, 70 лет, живет и умирает на том же самом уровне развития, нисколько не изменяясь. Относительно духовного его жизнь и смерть представляют собой одно и то же состояние, находятся в той же самой плоскости, потому что на этом уровне развития человек не поднимается над желаниями, с которыми родился.

Вопрос: Бааль Сулам называет второе тело душой…

Верно. Второе тело он называет душой. Но эта душа включает в себя свое тело – кли, и свет внутри него. Кли и свет вместе называются душой – это уже духовное кли. Как уже говорилось, вначале оно находится под властью системы нечистых миров, и постепенно человек переводит его под власть системы чистых миров.

Рис. 2

Когда на каждой ступени нам добавляется, в нас возрастает желание, мы получаем и раскрываем его из системы нечистых миров, а силу исправления и наполнение приобретаем от системы чистых миров.

Вопрос: Внутри какого тела раскрываются желания системы нечистых миров?

Между этими телами нет никакой связи. Нет никакой связи! Материальное тело может совершенно разложиться, прекратить свое существование, а тело души остается и существует. И если человек отождествляет себя с телом души, живет и ощущает реальность уже через него, то он остается с этим телом.

Это подобно тому, как если у меня есть какой-то орган ощущений, то я ощущаю этот мир и жизнь в этом мире через него. Например, если я лишился зрения, то мир для меня исчез с точки зрения этого органа ощущений.

То же самое происходит здесь. Если я приобретаю тело, называемое душой, начинаю работать с ним, получать в нем наслаждения, ощущать реальность, связь с Творцом, свою жизнь и существование, то я живу в нем, и тогда неважно, существую ли я в этом втором, материальном теле или нет.

И даже переходы между жизнью и смертью не имеют значения. Если человек живет, отождествляет себя с материальным телом, то его жизнь протекает только внутри него. Если же он переводит себя в связь с Творцом и только этим живет, то существует материальное тело или не существует, - это уже не имеет для него значения, он живет, существует и ощущает реальность в душе.

Вопрос: Можем ли мы сделать что-нибудь для того, чтобы воплощать это уже сейчас?

Сейчас мы должны развивать, выращивать кли, тело души. Но развить его можно только с помощью стремления к Творцу. В мере стремления человека к Творцу, в мере его готовности со стороны правой линии ему добавляют желания из левой линии, из системы нечистых миров. В этом заключается наша работа.

И сказано в книге Зоар, что вся Тора – это имена Творца. И все исторические рассказы, и все законы, и суды – это имена Творца. И поскольку «то, что не постигнуто, не называем по имени», пойми, что тайна имен Творца заключается в постижениях, распространяющихся от Него к работникам Его, пророкам и праведникам, и каждый соответствует им. И все это великолепие дается нам принятием Торы и исполнением заповедей сначала через открытую часть Торы, обладающую чудесным свойством очищать наши тела и увеличивать наши души до такого размера, что станем мы достойны постижения всей Торы и заповедей, как имен Творца, что является будущим вознаграждением душ. Однако и в этом мире, как сказано: «мир свой увидишь в своей жизни».

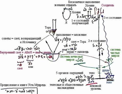
Под Торой подразумеваются два понятия: свет, возвращающий к Источнику, и наполнение, приходящее после того, как уже есть намерение ради отдачи или так называемый экран. Два этих понятия, в сущности, и составляют Тору. В конечном итоге приходящий свет, проявляющаяся сила Хозяина называется Торой.

Рис. 3

Раскрытие Торы внутри человека – это имена Творца. Что такое имена Творца? Мы изучали, что четырехбуквенное имя Творца - это АВАЯ (юд-кей-вав-кей) и его внутренний свет – кли и свет. Свет облачается в кли в мере исправленности кли, в соответствии с силой экрана.

Получается, что имена Творца – это формы отдачи, которые человек постигает и тем самым уподобляет себя Творцу, то есть, мера подобия души Творцу называется именем Творца.

И в этом разъясняется нам то, что в нескольких местах в Зоар называется 613-ю заповедями итин дэ-орайта (советами как исправить кли), и во множестве мест в Зоар названо 613-ю заповедями пкудин (светами, которые должны зайти в исправленное кли). И вначале человек должен сохранять Тору и заповеди, чтобы очистить свое тело и увеличить душу. Тогда 613 заповедей находятся у него в итин, то есть являются для него советами как все-таки удостоиться и предстать перед Творцом, наполненным его светом, так как сохранение Торы и исполнение заповедей постепенно очищают его так, что удостаивается раскрытия Творца. Как сказано: «Какая разница Творцу – убивают приносимое в жертву животное с затылка или перерезают ему горло? Ведь Тора и заповеди даны не для чего другого, как только соединить ими народ Израиля».

Безусловно, здесь не говорится ни о каком ином явлении или результате, для получения которого дана Тора, кроме приобретения экрана, намерения ради отдачи. Со стороны Творца нет более высокой цели относительно человека. Цель заключается не в том, чтобы знать, как правильно действовать в этом мире, совершать материальные действия – например, убивать животное кашерным или некашерным способом или выполнять какие-то действия, называемые заповедями в этом мире. Цель – достичь очищения, исправления желания.

Бааль Сулам приводит слова Эвен Эзра в пояснениях к Торе, говорящие о том, что хотя нам кажется, что все заповеди даны для выполнения в теле, то есть, с помощью физических действий или речи, но суть всех заповедей, их предназначение и цель заключаются в исправлении нашего сердца. Бааль Сулам приводит эти слова в предисловии к «Паним Меирот уМасбирот».

И в предисловии к книге «Уста Мудреца» Бааль Сулам повторяет это: «Какая разница Творцу – убивают приносимое в жертву животное с затылка или перерезают ему горло?» Это означает, что Творцу неважны физические действия, выполняемые нашим телом только на неживом уровне, а важно для Него, чтобы мы совершали действия, исправляющие наше духовное тело, тело души, потому что с ним связано соединение, очищение народа Израиля. Именно по отношению к духовному телу мы говорим «тело Израиля» – желание, стремящееся достичь Создателя, Творца, цели творения.

Вопрос: Где на этом рисунке находится ощущение Дающего?

Ощущение Дающего находится только в теле души.

Вопрос: Есть ли наполнение в ощущении Дающего?

Само желание, само тело души не существует, если у него нет хотя бы какого-то ощущения Дающего. Желание существует всегда в том случае, если есть какой-то свет, создавший и поддерживающий его. Поэтому свет, создавший тело души, дающий человеку это ощущение, уже стоит перед желанием и поддерживает, осуществляет его.

Это уже – ощущение Создателя. Желаешь ты или не желаешь, понимаешь или нет, но если ты стремишься к чему-то за пределами этого мира, то твое стремление уже направлено к Создателю, хотя пока еще ты не узнал Его и не создал представления о Нем. В то время как неживому телу ясно, что перед ним есть наслаждения и понятны способы их получения.

Конечно, в этих наслаждениях неживого тела тоже есть искорки света, потому что его материал также представляет собой желание наслаждаться, поддерживаемое светом, но этот свет дает наслаждения, не имеющие никакой связи с Создателем.

Давайте продолжим дальше. Это предисловие написано Бааль Суламом в 30-е годы, раньше многих других его книг. Его форма и стиль написания вызывают у меня такого рода объяснения, может быть, более абстрактные, чем пояснения каких-либо других предисловий и статей.

Однако после того как в достаточной степени очистит свои потребности и удостоится света Творца, раскроются глаза его и душа его, и постигнет он 613 светов, содержащихся в 613 заповедях, что является тайной имен Творца, то есть приходят к их постижению. И посредством исполнения каждой заповеди получает часть света, заключенную в ней, так как заповедь является тайной кли. И в него облачается свет, то есть имя Творца, относящееся к этой заповеди, как сказано: «заповедь – свеча, а Тора – свет».

Это означает, что исправление желания наслаждаться намерением ради отдачи называется выполнением заповеди, которое имели в виду, говоря «Какая разница Творцу – убивают приносимое в жертву животное?», Его волнует, как ты убиваешь свое внутреннее животное, чтобы оно было кашерным, и его мясо смогло бы служить тебе для жизни и существования.

После того, как с помощью света, возвращающего к Источнику, мы исправляем желание наслаждаться тела, кли души, это желание обращается на самом деле в кли, предназначенное для получения света. И получается, что кли может получить внутрь Тору, свет посредством ударного взаимодействия (зивуг дэ-акаа) экрана со светом.

Часть света, получаемая внутрь кли, называется именем Творца, постигаемым человеком, то есть, часть Творца, некое проявление Его по отношению к человеку. Человек не постигает самого Создателя, он постигает только меру своего исправления относительно Создателя, и из этого постижения, из самого себя он познает Создателя, из обретаемых им имен Творца.

Каждое имя Творца представляет собой некоторую характерную особенность, некую часть от свойства отдачи Творца. Как написано «Имя Творца наречено на тебе», и тем самым мы каждый раз раскрываем Создателя в соответствии с подобием свойств.

Поэтому мы никогда не говорим о самом Создателе, а только о том, как мы раскрываем Его в мере своей возможности уподобиться Ему.

И это называется - 613 заповедей получения светов. Это похоже на человека, который сложил в сосуд драгоценные камни и сказал любимому им человеку: «Возьми сосуд, но береги его от рук воров». И получается, что говорят они о сосуде, но имеют в виду находящиеся в нем драгоценные камни.

Рис. 4

Исправление кли называется эйца - совет или заповедь, а наполнение кли – пикадон (вложение), то есть, свет, находящийся вне кли, который человек начинает получать по частям в мере своего исправления. Постепенно получая все эти вложения, части света, человек приобретает Тору - до тех пор, пока в конечном итоге не обретает ее полностью.

Существует заповедь о том, что каждый человек обязан написать книгу Торы. «Написать» означает совершить все исправления. Каждая буква - это кли, готовое к получению света, и поэтому говорится, что человек пишет книгу Торы в таамим (вкусах), некудот (точки, расположенные над или под буквой), во всем, что мы изучали о процессе распространения светов внутри келим.

Вопрос: Пикадон на иврите означает нечто условное, временное, все еще зависящее от Творца…

Верно. Это свет, находящийся вне кли, предназначенный тебе, и если ты выполнишь условие, то получишь его. Этот свет «вложен на твой счет» у Творца, и в мере твоей способности «платить» ты получаешь его. Так это устроено.

Вопрос: И после каждой заповеди он уже принадлежит мне, или все еще называется «пикадон» (вклад)?

Выполнение заповеди означает, что ты исправил часть своего желания наслаждаться с помощью экрана, и тогда ты совершаешь зивуг дэ-акаа и наполняешь себя ради отдачи. Это означает, что ты получил этот вклад, который прежде находился, хранился вне тебя, то есть, получил часть Торы.

И так постепенно ты приобретаешь части Торы до тех пор, пока не получишь весь предназначенный тебе свет ради отдачи. Таким образом ты раскрываешь все имена Творца, пишешь внутри своего желания наслаждаться всю книгу Торы.

Вопрос: Что именно «вложено», и каково условие получения?

Рис. 5

Вначале душа находилась возле Творца со всем бесконечным наполнением, приходящим от Него. Как мы уже изучали, это называется первым состоянием. То, что кли не ощущало большего, чем свет Нефеш из-за неразвитости своего желания, не говорит о свете, предназначенном кли и находящемся внутри него.

В мире Бесконечности существует весь свет, приходящий от Творца, там не хватает лишь ощущения, внутреннего определения того, что этот свет является действительно бесконечным, и внутри постижения этого света я могу постичь Создателя, Хозяина. Этому свету Бесконечности не хватает только получения ради отдачи, и если я получу этот свет ради отдачи, то поднимусь на уровень Хозяина, стану подобным Ему.

В первом состоянии я получаю, а получающий ощущает то, что положено ему. У него отсутствует свет НАРАНХАЙ, который приходит к получающему в том случае, если он узнает Хозяина. Для того чтобы получающий узнал Хозяина, поднялся на его уровень и на самом деле получил то, что изначально Хозяин пожелал дать ему – состояние «Добрый и Творящий добро», которое можно ощутить только на уровне самого Творца, для этого душа, кли нисходит до этого мира.

С уровня этого мира душа начинает очень постепенно постигать Хозяина – свойства отдачи, природу Хозяина. Она приобретает себе эту природу, и тогда возвращается к тому же самому первоначальному состоянию.

То есть, сначала душа спускается сверху вниз из первого состояния во второе, а когда поднимается снизу вверх обратно – это уже называется третьим состоянием. Разница между первым и третьим состоянием заключается в том, что в третьем состоянии душа приобрела НАРАНХАЙ, осознание Хозяина, достигла Его уровня. Она сравнилась с Ним по свойствам.

Я сижу напротив стола, и уже не являюсь получающим. Либо я делаю сокращение, не получаю, и тогда в любом случае я не способен ничего сделать, поскольку не наслаждаюсь от такого состояния. Либо я превращаюсь в подобного Хозяину по свойству отдачи и ем ради того, чтобы отдавать Ему. В сущности, тем самым я достигаю Его уровня. Мы начинаем быть равными друг другу, Он дает мне - я даю Ему, Он наслаждается – я наслаждаюсь, и так далее.

Тем самым я абсолютно равен Ему, потому что, прежде всего, у Хозяина есть желание насладить, отдать, и я, находясь на уровне ниже Его, наполняю Его желание отдавать (см. рис.6).

Получается, что Его желание (неважно, что желание отдачи – это все равно недостаток), Его недостаток предшествует моему, он больше моей потребности.

И тогда, наполняя Его недостаток, я превращаюсь в равного Ему, перестаю быть вторичным, порождением «нечто из ничего» и так же функционирующим Ему в ответ. Нет! Я не совершаю ответное действие, потому что исхожу из Его желания отдать, Его недостатка, и поэтому действительно уравниваю себя с Ним.

Здесь есть то, что невозможно передать словами. Но, в конечном итоге, мы достигаем подобия свойств с Творцом. У меня нет слов для описания этого состояния.

Известно из книг Каббалы, что тайна имени Творца заключена в имени АВАЯ, которое включает в себя все имена Творца на всех ступенях. И потому «Творец, свет Его и Исраэль едины», несмотря на то, что массы не видят в Торе ничего, кроме исторических рассказов, законов, и судов.

Рис. 6

В сущности, имя АВАЯ (юд-кей-вав-кей) возникает из четырех стадий распространения прямого света, в которых творение, Малхут бесконечности, создается отношением Творца к ней, называемом АВАЯ, - отдачей Творца творению.

Если затем творение приходит к тому же действию по отношению к Творцу, то внутри себя оно начинает существовать, исходя из АВАЯ, из того же отношения, из того же строения. Это не значит, что творение уже состоят из АВАЯ. Напротив, с помощью экранов творение достигает того же действия, той же сути, что и отношение Творца к нему.

В конечном итоге творение постигает АВАЯ – полное имя Творца, отношение Творца к творению во всей своей полноте, включая все его частные составляющие.

Известно из книг Каббалы, что тайна имени Творца заключена в имени АВАЯ, которое включает в себя все имена Творца на всех ступенях. И потому «Творец, свет Его и Исраэль едины», несмотря на то, что массы не видят в Торе ничего, кроме исторических рассказов, законов, и судов.

В сущности, все рассказы, описанные в Торе, разъясняют нам единственное имя Творца – АВАЯ, которое затем распространяется и разделяется на тысячи тысяч воздействий со стороны Творца по отношению ко всевозможным душам, называемым в Торе именами людей и даже названиями диких и домашних животных – именами созданий.

Мы не видим в Торе отношение Творца к ним, а видим только то, как они живут, страдают, наслаждаются, что происходит между ними. Но, в сущности, за всеми этими рассказами скрывается рассказ о программе исконного АВАЯ (юд-кей-вав-кей), заключающейся в отдаче по отношению к каждому частному желанию, на которые в итоге разделяется общее желание.

Это означает, что Тора поясняет (от слова перуш – пояснение, разделение на части), то есть, разделяет и объясняет на примере частных составляющих, как реализуется отношение Творца к каждой части общего кли, то есть, к каждому творению.

Отсюда мы можем изучить законы, по которым каждое творение в каждом состоянии может снова уподобиться Творцу и таким образом приобрести все имена, существующие в Торе, то есть, во всей этой программе. Это говорит о том, что все написанное в Торе в итоге рассказывает об отношении Творца ко всему желанию наслаждаться.

И из этого можно изучить обратное - что должно раскрыть исправленное желание наслаждаться, что раскрывается в нем от отдачи Творца, от отношения Творца к нему. Тора представляет собой некоторый вид дорожной карты или программы, уже готовой к использованию со всеми келим и светами

И если человек, то есть, частное кли (мы говорим о сути человека – о его кли, а не о физическом теле) желает начать работать, приобретать свойства отдачи Творцу, то он уже включается в Тору, входит в нее, берет из нее силу, называемую силой советов, - свет, возвращающий к Источнику, исправляет свое маленькое кли, а затем получает из Торы свет, наполняющий это кли.

Таким образом человек включается в Тору, в конечном итоге, в это большое вместилище всех келим и светов до тех пор, пока не осуществляет все свои действия. Это и означает, что человек написал книгу Торы. Тем самым он достигает состояния, о котором написано, что каждый человек обязан достичь уровня Моше.

Моше – это общее кли, которое вышло из изгнания, из Египта, включает в себя все желания, все части – египтян и евреев, и в конечном итоге приносит им – всему этому кли – Тору свыше, то есть, в этом состоянии человек как бы готов исправить и наполнить все это кли. Уровень Моше - это понятие, говорящее об исправлении всего кли.

Человек достигает такого состояния, статуса, уровня Моше посредством того, что постепенно исправляет себя. Уровень Моше – это «верный поводырь», то есть, уровень Бины, способной исправить всю Малхут, как написано «не так с рабом моим Моше: во всем доме моем доверенный он» (Бемидбар 12:7), когда во всем кли он уже властвует со свойством Бины.

Бааль Сулам написал это предисловие в другом духе, и потому я говорю не так, как обычно.

Однако я уже разъяснял смысл выражения «золотые яблоки в серебряной оправе», что называется 613–ю заповедями получения светов. И как сказано мудрецами: «Вся Тора – это имена Творца», и потому «Тора и Творец едины», но в тайне «общее и частное», где Творец – это совокупность всех имен и общий свет, а Тора разделяется на 613 светов. И получается, что все вместе они едины и представляют собой самого Творца.

Рис. 7

Мы уже изучали, что наше кли состоит из 613 (ТАРЬЯГ) частных желаний, которые делятся на 248 органов (РАМАХ эйварим) и 365 связок или жил (ШАСА гидим) в теле души. Когда человек исправляет все эти желания, то удостаивается 613-ти светов (ТАРЬЯГ пкудин орайта – повелений Торы), и тогда приобретает общую Тору, потому что эти 613 пкудин, 613 светов в сумме называются Торой.

Как ранее написал Бааль Сулам, напротив всех эйцот (советов) есть пикадон (свет, который должен войти в кли).

И сейчас нам осталось выяснить, что представляет собой Исраэль. Сначала нужно понять, что означает множество разделенных форм в духовном, то есть, как и для чего они разделены и отделены одна от другой. В материальном одно от другого можно отделить с помощью ножа или место и время отделяют и разделяют их. Но невозможно представить себе такого в духовном, которое вне времени и пространства.

Однако знай, что в духовном все различие между Высшими светами не что иное, как отличие свойств. В отношении разумных душ, что в людях, конечно же, каждая из душ отделена и отдалена одна от другой. Однако основой отделения является отличие свойств, то есть, душа у одного хорошая, у другого плохая, у третьего умная или глупая и т.д. Как сказано: «Как отличаются друг от друга лица, так отличаются и их мнения».

Вместе с тем понятно, если бы все люди обладали одинаковым образованием и одинаковыми склонностями, то и души людей были бы одной душой. И по значимости она была бы как свет солнца, который заливает всех людей так, что совершенно невозможно различить, что есть раздельные формы. Так и одна душа была облачена во множество тел, так как пространство абсолютно не отделяет духовные сущности, если только нет разницы в их свойствах.

Бааль Сулам говорит простую вещь: в нашем мире мы считаем людей по головам, а если бы мы считали их по внутренним келим, то, в сущности, увидели бы, что у каждого человека есть внутреннее кли, отличающееся от другого.

Если бы внутренние келим всех людей были бы одинаковыми, и мы не обращали бы внимания на внешнюю форму тел, то все люди вместе представляли бы собой, в сущности, единое кли, потому что в духовном объекты отличаются друг от друга по своей духовной форме - по своему желанию. Если между ними нет разницы в желаниях, то они не отделяются друг от друга и становятся одним кли.

Бааль Сулам хочет сказать, что так же, как в этом мире мы видим множество людей, примерно, семь миллиардов, также и в духовном у каждого из них есть кли, отличное от другого. Для чего нужны все эти отличающиеся между собой келим?

Бааль Сулам объясняет далее, что с помощью этого умножения келим, когда общее кли разделяется на миллиарды частей, и все эти части еще на протяжении многих кругооборотов, то есть, не за один раз, выполняют множество действий, то в сумме они совершают одно действие в едином кли Адама Ришон.

Это действие невозможно выполнить за один раз, и невозможно совершить его в одном желании. Желание обязано разделиться на множество частей до самых мельчайших деталей. И каждое желание должно разделиться на периоды, так чтобы каждое частное желание побывало во всех состояниях.

Получается, что если мы возьмем одно мгновение одного желания, то можно сказать, что оно реализует самый маленький элемент, существующий в Адаме Ришон. Таким образом кли разделяется на периоды времени и на части.

А теперь приступим к разъяснению. Уже известно, что тайна душ сынов Израиля – это тайна Божественной части свыше, причем душа нисходила по закону причины и следствия, спускаясь от ступени к ступени, пока не стала пригодной, чтобы прийти в этот мир и облачиться в грязное, материальное тело. И посредством соблюдения Торы и выполнения заповедей восходит от ступени к ступени, пока не восполнится ее объем и не станет достойной получить свое вознаграждение от Совершенного, уготованное для нее заранее, т.е. постижение святой Торы как имен Творца, является тайной 613-ти заповедей получения светов.

Вопрос: Когда мы постигаем 613 (ТАРЬЯГ) пкудин?

Пкудин – это пикадон – свет, находящийся напротив кли и ожидающий, когда кли будет способным получить его. Это называется пкудин. Но перед тем как ты получишь его, ты заплатишь. Чем заплатишь? – С помощью эйцот (советов) – сил, готовых к использованию, если ты пожелаешь воспользоваться ими как средством для исправления, - та же Тора, которую ты используешь как свет, возвращающий к Источнику. Это называется эйцот.

Поэтому мы реализуем эйца (совет), выполняем заповедь, исправление и затем получаем пикадон, часть от общей Торы. Мы выполняем заповедь – и получаем Тору. Это означает, что мы учим Тору. Что значит «учим Тору»?

Я учусь у того же находящегося передо мной света, каким образом могу стать таким же отдающим, как Он, совершаю это действие отдачи и тогда получаю этот свет как свой внутренний свет. Этот свет я изучаю в таамим и некудот, и тогда начинаю точно ощущать в его глубине, кто такой Создатель, - на себе, на своем желании наслаждаться. Это означает, что «человек учит Тору» - в конечном итоге.

Вначале человек учит Тору, начиная использовать ее как свет, возвращающий к Источнику, до тех пор, пока он постигает полное имя Творца, что называется, получает пикадон, постигая полное имя Творца. И тогда это имя уже написано на нем. Человек становится в некотором роде пергаментом, на котором пишут Тору.

Если человек полностью сокращает себя, что называется, превращается в тонкий пергамент, подобно свету, желающему только отдавать, и затем притягивает отиет (буквы), притягивает желание наслаждаться и уже начинает получать ради отдачи, то тем самым он реализует буквы отдачи Творцу, келим отдачи. Это означает, что он пишет Тору.

Сказано «Напиши на доске своего сердца», напиши на сердце, потому что сердце – это желание. Поэтому, прежде всего, мы делаем из желания «белое», а затем пишем, пробуждаем желания и начинаем с их помощью создавать келим, получая уже ради отдачи. Это называется «написать книгу Торы».

И сейчас ты понимаешь, что «свет Творца и Исраэль едины». И все различие между Торой и душой в том, что вследствие силы различия свойств, заключенной в душе, свет в ней сильно уменьшился. А Тора – это простой свет, распространяющийся из сути Творца, величие которого беспредельно.

Как человек превращается в Тору, достигает состояния, в котором «свет Творца и Исраэль едины»? – Это достигается посредством того, что кли исправило себя свойством Бины и затем продолжило исправлять свои желания на получение ради отдачи, на истинную отдачу.

Достигая стопроцентной отдачи, человек уподобляется свету, приходящему от Творца, отдаче Творца, и тогда становится подобным Ему по свойствам, сливается с Ним в единстве. Такое состояние называется «свет Творца и Исраэль едины», когда свойства Творца, то есть, свойства Торы - и свойства Исраэля становятся одним целым. Они едины, и нет никакой разницы между ними, ничего, что разделяло бы их.

наверх
Site location tree